Farmacología

Actividad neutralizante de sueros de personas vacunadas con Sputnik V contra variantes de preocupación (VOC: Alpha, Beta, Gamma, Delta, B.1.617.3) y 2 variantes de SARS-CoV endémico de Moscú

13 julio 2021

Para el B.1.351, P.1 y B.1.617.2, se observó una reducción de VNA estadísticamente significativo 3,1, 2,8 y 2,5 veces, respectivamente. Cabe destacar que esta disminución es menor que la reportada en publicaciones para otras vacunas. Sin embargo, es necesario un estudio comparativo directo para llegar a una conclusión.  Vaccines, 12 de julio de 2021

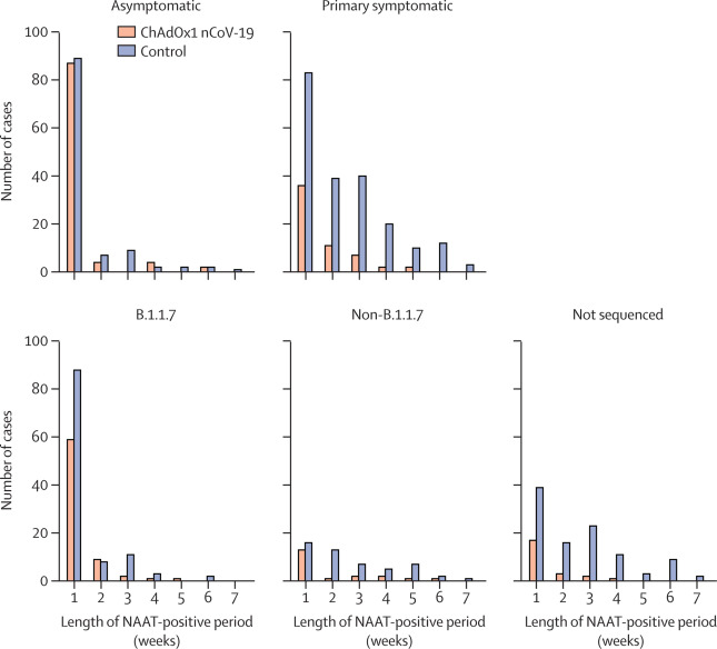
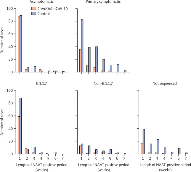
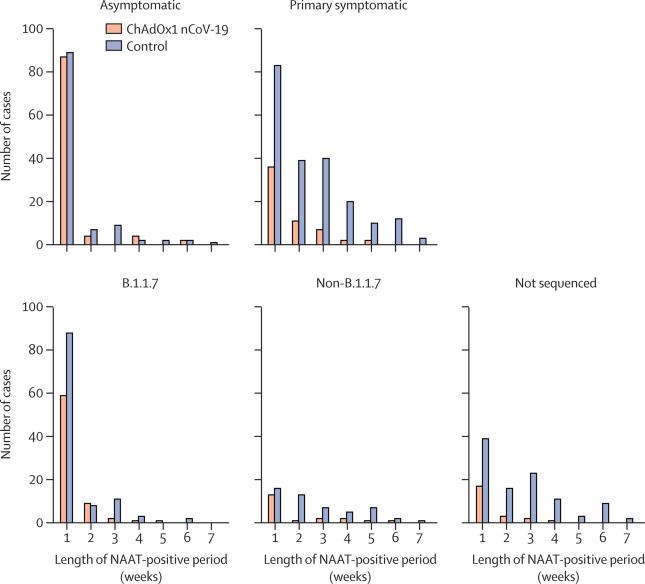
Eficacia de la vacuna AstraZeneca  contra la variante británica: análisis exploratorio de un ensayo controlado aleatorio

31 marzo 2021

la vacuna AstraZeneca (ChAdOx1 nCoV-19) mostró una actividad de neutralización reducida contra la variante B.1.1.7 en comparación con una variante no B.1.1.7 in vitro, pero la vacuna mostró eficacia contra la variante B.1.1.7 del SARS-CoV-2. Lancet, 30 de marzo de 2021

Categorias

Etiquetas