Farmacología

Respuesta de anticuerpos a los esquemas combinados con vacunas Pfizer y AstraZeneca

09 agosto 2021

Se exploraron todas las combinaciones para las primera y segunda dosis con las vacunas de Pfizer (BNT) y la de AstraZeneca (ChAd). La secuencia ChAd / BNT no fue inferior a BNT / BNT, mientras que BNT/ChAd no cumplió con los criterios de no inferioridad, aunque las concentraciones de IgG anti-pico de SARS-CoV-2 fueron más altas que con el esquema ChAd / ChAd, cuya eficacia contra la enfermedad y la internación por COVID-19 está probada. Estos datos respaldan la flexibilidad en el uso de la vacunación de primer refuerzo heteróloga con las vacunas ChAd y BNT. The Lancet, 4 de agosto de 2021.

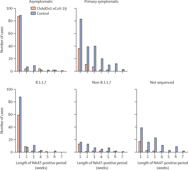
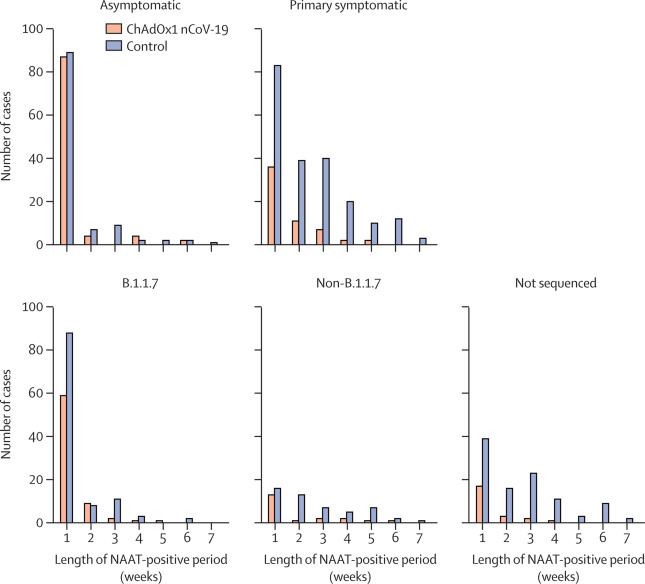
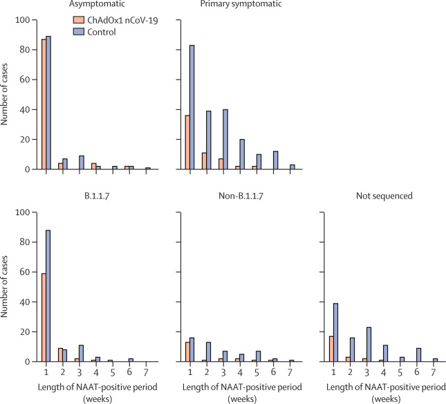
Eficacia de la vacuna AstraZeneca  contra la variante británica: análisis exploratorio de un ensayo controlado aleatorio

31 marzo 2021

la vacuna AstraZeneca (ChAdOx1 nCoV-19) mostró una actividad de neutralización reducida contra la variante B.1.1.7 en comparación con una variante no B.1.1.7 in vitro, pero la vacuna mostró eficacia contra la variante B.1.1.7 del SARS-CoV-2. Lancet, 30 de marzo de 2021

Seguridad y eficacia de la vacuna ChAdOx1 nCoV-19 (Oxford) contra el SARS-CoV-2, análisis intermedio de 4 ECAs en Brasil, Sudáfrica y el Reino Unido

09 diciembre 2020

La vacuna ChAdOx1 nCoV-19 tiene un perfil de seguridad aceptable y se ha encontrado que es eficaz contra COVID-19 sintomático en este análisis intermedio de ensayos clínicos en curso. Lancet, 8 de diciembre de 2020

Seguridad e inmunogenicidad de la vacuna ChAdOx1 nCoV-19 administrada en un régimen de refuerzo primario en adultos jóvenes y ancianos (COV002): un ensayo simple ciego, aleatorizado, controlado, de fase 2/3

19 noviembre 2020

ChAdOx1 nCoV-19 parece ser mejor tolerado en adultos mayores que en adultos jóvenes y tiene una inmunogenicidad similar en todos los grupos de edad después de una dosis de refuerzo. Se justifica una evaluación adicional de la eficacia de esta vacuna en todos los grupos de edad e individuos con comorbilidades. Lancet ,18 de noviembre de 2020

Categorias

Etiquetas