Farmacología

Refuerzo de la vacuna BNT162b2 (Pfizer-BioNTech ) y mortalidad debida a Covid-19

10 diciembre 2021

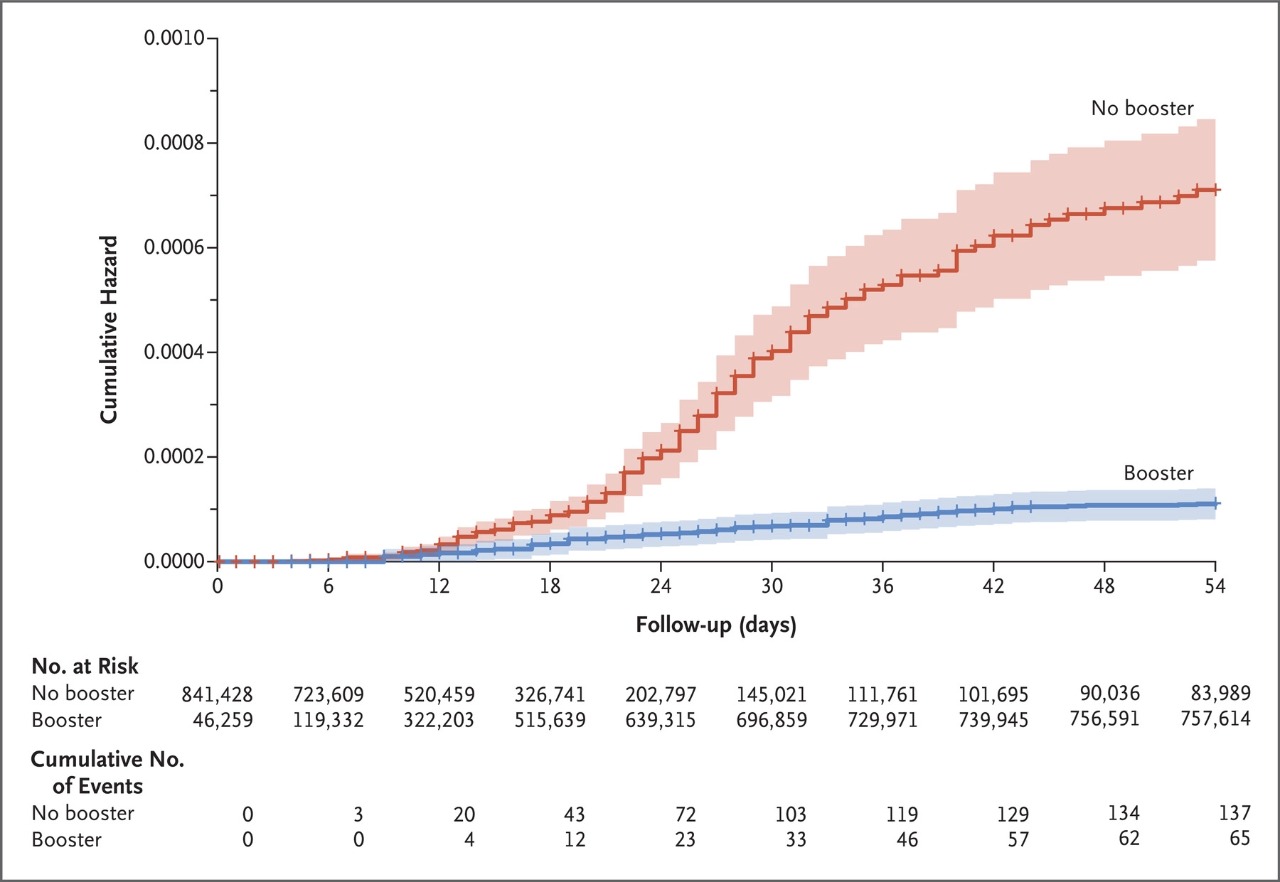
Los participantes que recibieron un refuerzo al menos 5 meses después de una segunda dosis de BNT162b2 (Pfizer-BioNTech) tuvieron un 90% menos de mortalidad debido a Covid-19 que los participantes que no recibieron un refuerzo.  N Engl J Med. 8 de diciembre de 2021

Administración de dosis adicional al esquema primario de vacunación contra COVID-19: Memorandúm y Guía

27 octubre 2021

El Ministerio de Salud de la Nación comunica: La recomendación sobre aplicación de una dosis adicional en dos grupos de población definidos: - Personas con inmunocompromiso que hayan recibido un esquema primario con cualquier vacuna contra la COVID-19.- Personas de 50 años o mayores que hayan recibido un esquema primario de vacuna a virus inactivado.  Ministerio de Salud de la Nación, 26 y 27 de octubre de 2021.

Recomendaciones de la EMA sobre terceras dosis y dosis de refuerzo de las vacunas frente a la COVID-19 Comirnaty (BioNTech/Pfizer) y Spikevax (Moderna)

05 octubre 2021

La agencia europea indica que podrían administrarse terceras dosis de las vacunas Comirnaty (BioNTech/Pfizer) y Spikevax (Moderna) a personas  trasplantadas e inmunocomprometidas. También se podría considerar una dosis de refuerzo de Comirnaty a personas de más de 18 años que hayan recibido una segunda dosis hace, al menos, seis meses. Se consideran terceras dosis las que se administran a personas trasplantadas o inmunocomprometidas y dosis de refuerzo las que se administran a personas con un sistema inmune normal. AEMPS, 4 de octubre de 2021

Categorias

Etiquetas