Farmacología

Trastornos hipertensivos del embarazo: subtipos y riesgo cardiovascular a largo plazo

12 febrero 2026

En este estudio de cohorte, todos los subtipos de trastornos hipertensivos del embarazo  se asociaron con aumentos moderados del riesgo cardiovascular a largo plazo, excepto la preeclampsia superpuesta, que se asoció con un riesgo significativamente mayor. Estos hallazgos sugieren que las mujeres con preeclampsia superpuesta podrían beneficiarse de una vigilancia cardiovascular posparto más estrecha. JAMA INternal Medicine, febrero de 2026.

Exposición al racionamiento de azúcar en los primeros 1000 días después de la concepción y resultados cardiovasculares a largo plazo

23 octubre 2025

Durante la segunda guerra mundial y en los primeros años de la postguerra hubo restricción en el uso de azúcar y dulces en Gran Bretaña, que terminó en 1953. Comparando los resultados cardiovasculares de quienes estuvieron o no expuesto a este racionamiento de azúcar durante sus primeros 1000 días de vida se encuentra un menor riesgo cardiovascular en la edad adulta e índices cardíacos ligeramente más favorables, lo que sugiere beneficios cardiovasculares a largo plazo de la restricción de azúcar en la infancia. BMJ, octubre de 2025.

Asociación de la diabetes gestacional con el riesgo vital a largo plazo

12 septiembre 2023

Los resultados de este estudio de cohorte sugieren que las participantes que informaron antecedentes de diabetes gestacional exhibieron un riesgo pequeño pero elevado de mortalidad posterior durante 30 años. Los hallazgos enfatizan la importancia de considerar la diabetes gestacional como un factor de riesgo de mortalidad en la vejez. JAMA Internal Medicine, 11 de septiembre de 2023.

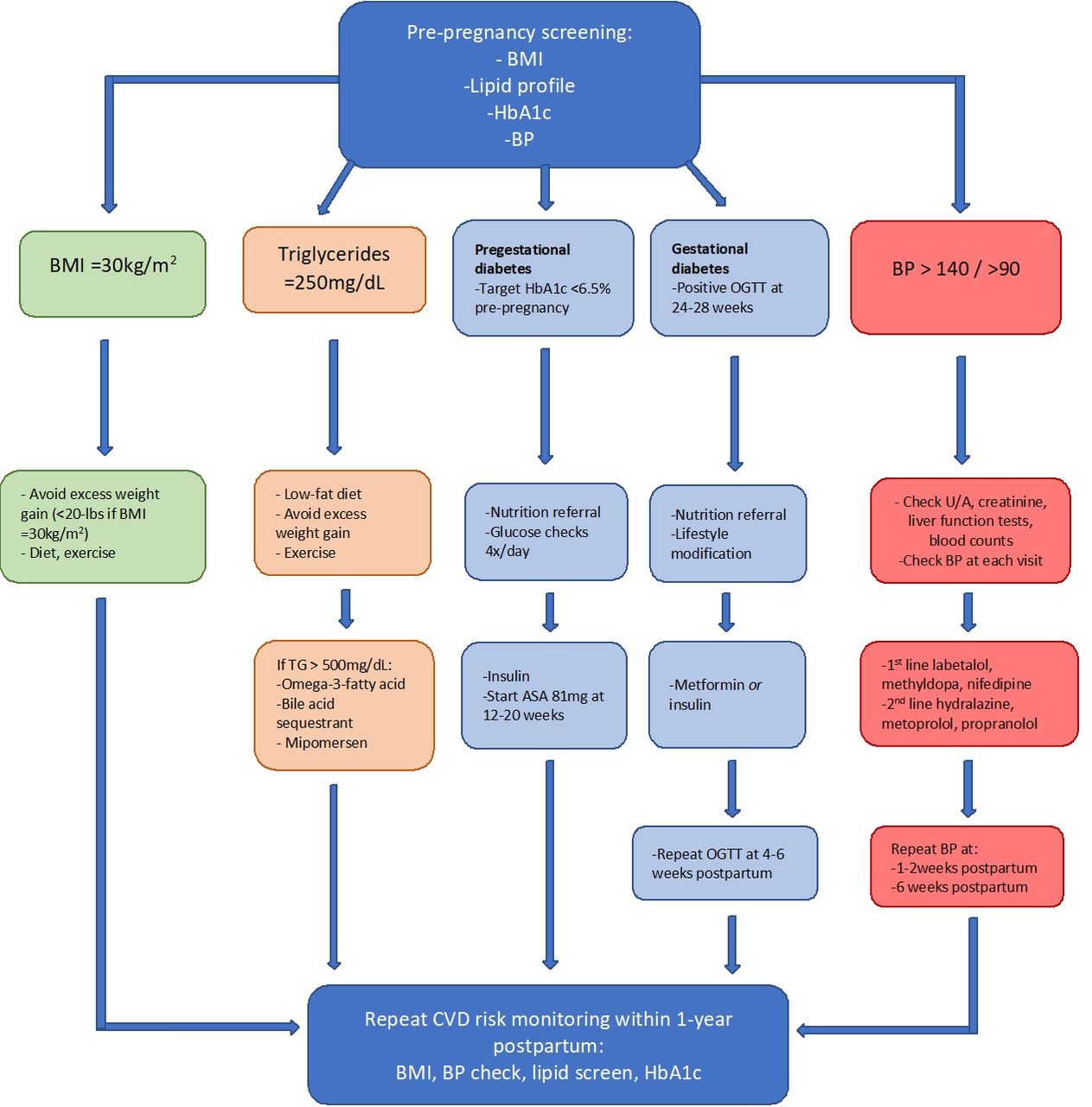
Manejo de los factores de riesgo cardiovascular durante el embarazo

25 enero 2022

Esta revisión resume el manejo recomendado de los factores de riesgo cardiovascular (CV) durante y después del embarazo. Para la obesidad, la prevención del aumento de peso excesivo es fundamental. Excepto en casos raros, las terapias hipolipemiantes para mujeres con hiperlipidemia deben suspenderse antes del embarazo. Las mujeres con diabetes durante el embarazo deben mantener un control estricto de la glucosa, con hemoglobina A1c (HbA1c) <6,5 % para prevenir anomalías congénitas. Los trastornos hipertensivos del embarazo se asocian con una alta morbilidad materna y neonatal y requieren un seguimiento a largo plazo para prevenir futuras ECV. Heart, 22 de enero de 2022

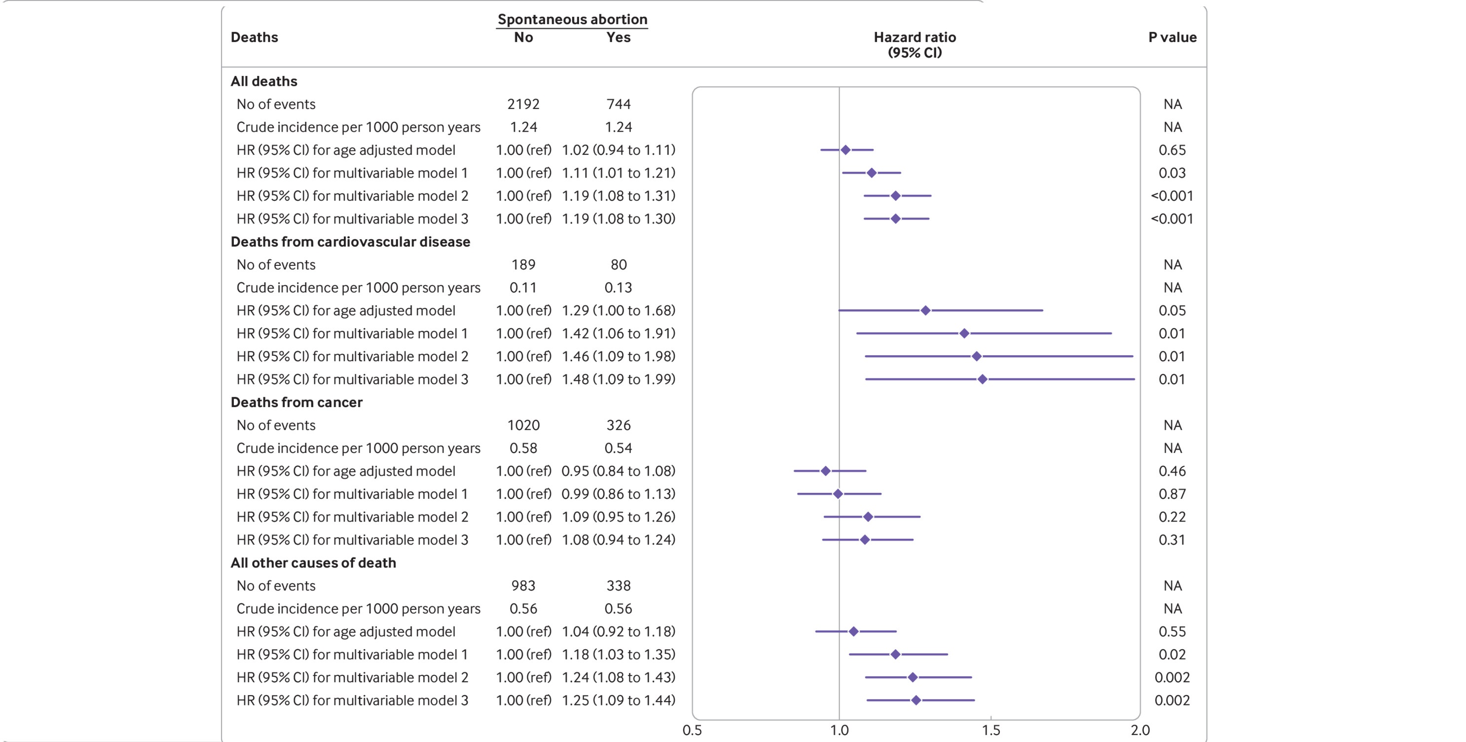
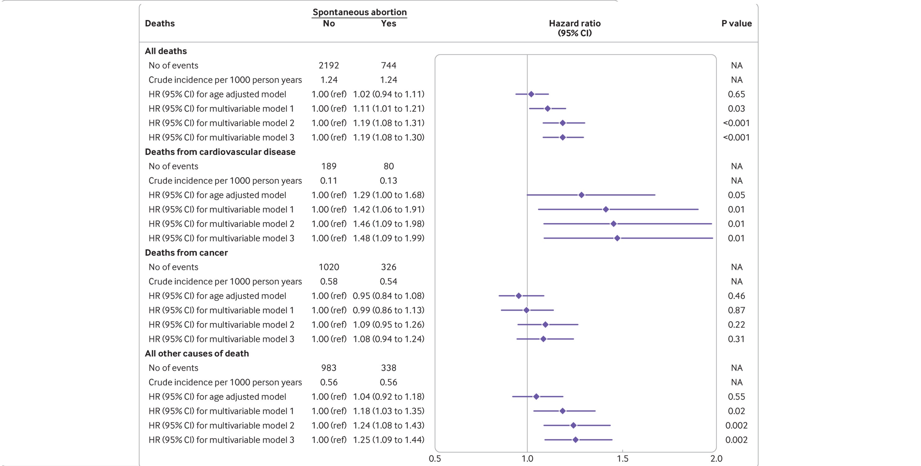
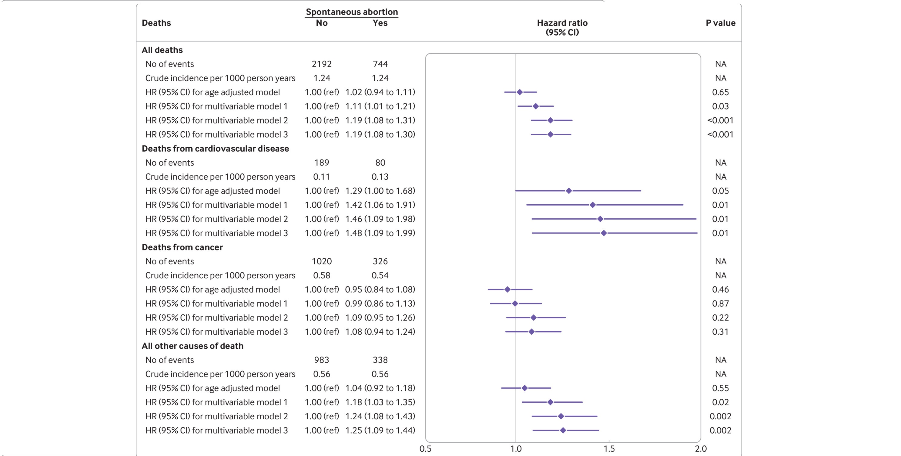
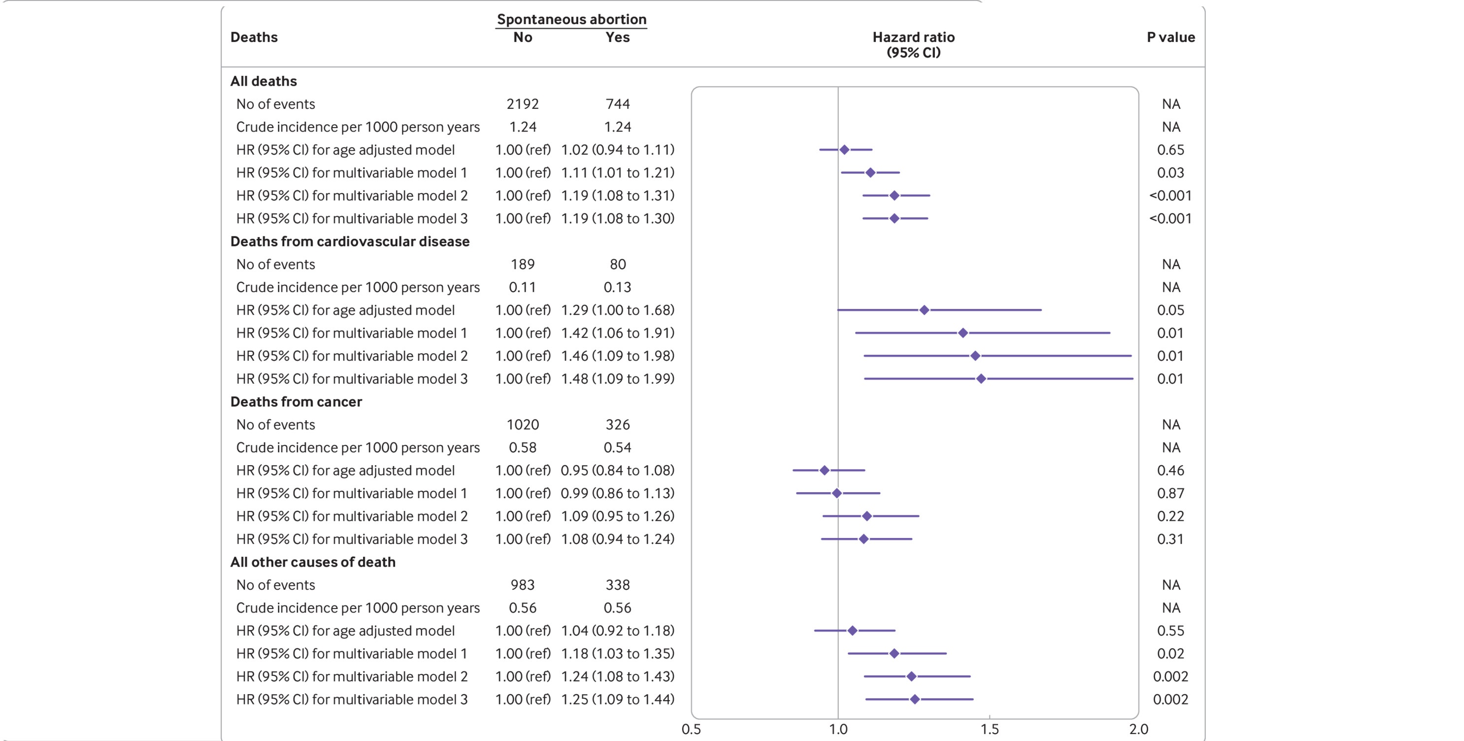
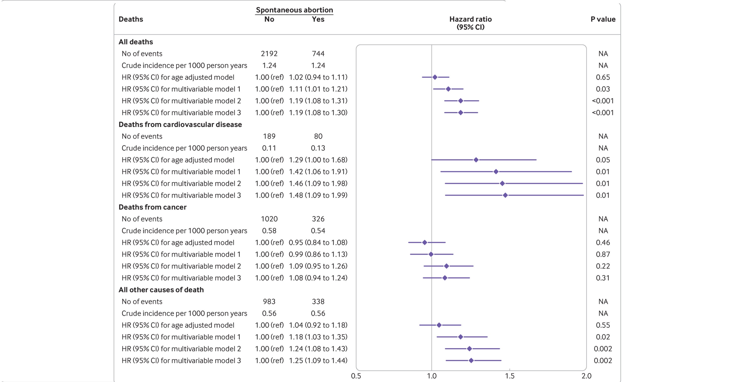
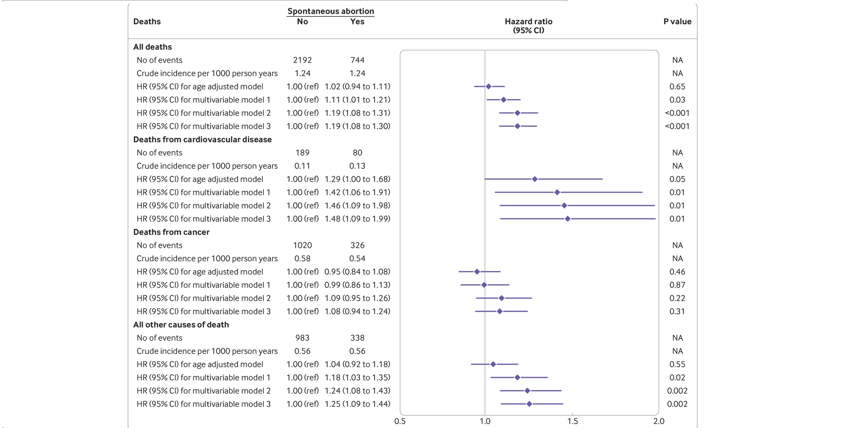
Abortos espontáneos y mortalidad prematura

25 marzo 2021

Si bien los valores absolutos del aumento de riesgo fueron pequeños, la ocurrencia de abortos espontáneos se asoció con una mayor probabilidad de mortalidad prematura, particularmente por enfermedad cardiovascular. British Medical Journal, 24 de marzo de 2021.

Categorias

Etiquetas