Farmacología

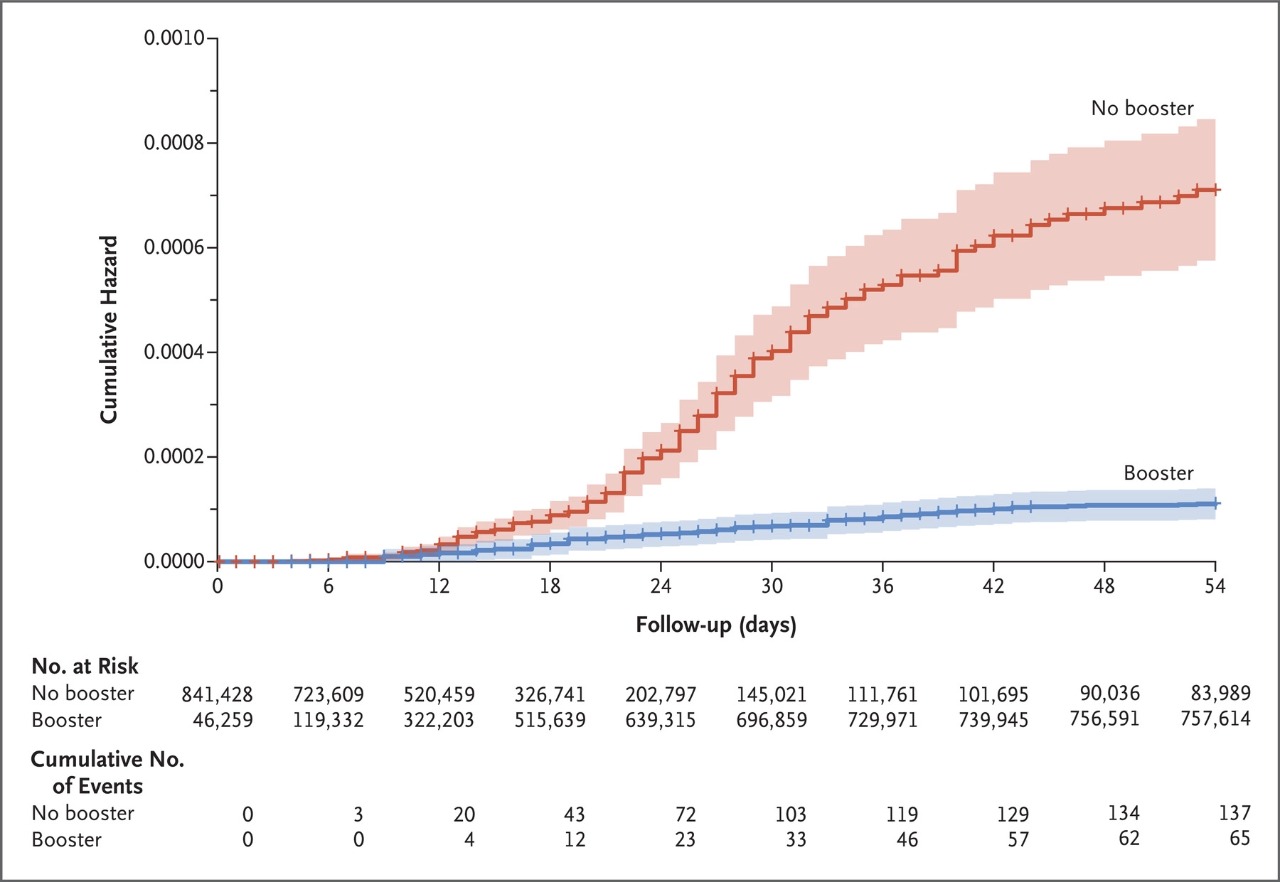
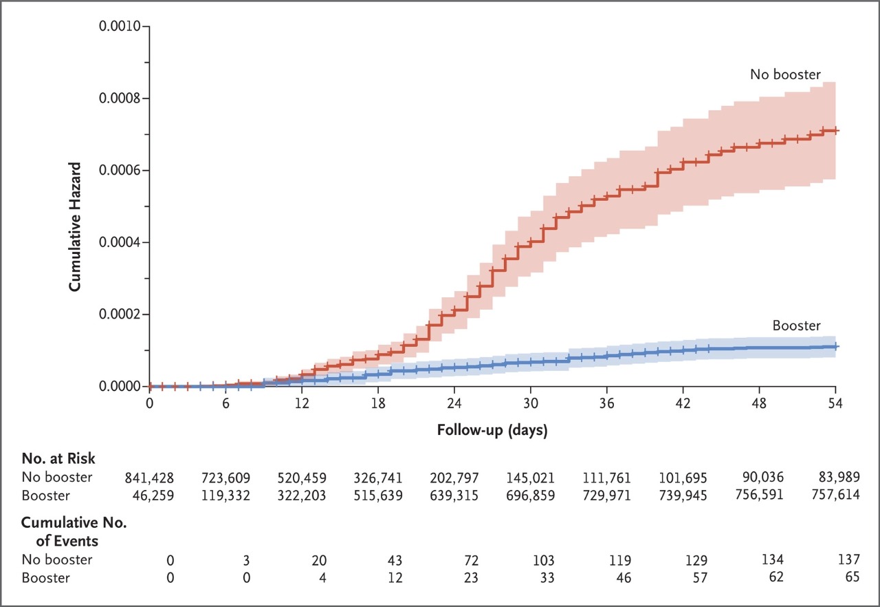
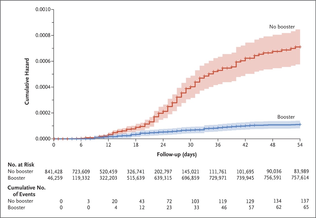
Refuerzo de la vacuna BNT162b2 (Pfizer-BioNTech ) y mortalidad debida a Covid-19

10 diciembre 2021

Los participantes que recibieron un refuerzo al menos 5 meses después de una segunda dosis de BNT162b2 (Pfizer-BioNTech) tuvieron un 90% menos de mortalidad debido a Covid-19 que los participantes que no recibieron un refuerzo.  N Engl J Med. 8 de diciembre de 2021

Administración de dosis adicional al esquema primario de vacunación contra COVID-19: Memorandúm y Guía

27 octubre 2021

El Ministerio de Salud de la Nación comunica: La recomendación sobre aplicación de una dosis adicional en dos grupos de población definidos: - Personas con inmunocompromiso que hayan recibido un esquema primario con cualquier vacuna contra la COVID-19.- Personas de 50 años o mayores que hayan recibido un esquema primario de vacuna a virus inactivado.  Ministerio de Salud de la Nación, 26 y 27 de octubre de 2021.

Recomendaciones de la EMA sobre terceras dosis y dosis de refuerzo de las vacunas frente a la COVID-19 Comirnaty (BioNTech/Pfizer) y Spikevax (Moderna)

05 octubre 2021

La agencia europea indica que podrían administrarse terceras dosis de las vacunas Comirnaty (BioNTech/Pfizer) y Spikevax (Moderna) a personas  trasplantadas e inmunocomprometidas. También se podría considerar una dosis de refuerzo de Comirnaty a personas de más de 18 años que hayan recibido una segunda dosis hace, al menos, seis meses. Se consideran terceras dosis las que se administran a personas trasplantadas o inmunocomprometidas y dosis de refuerzo las que se administran a personas con un sistema inmune normal. AEMPS, 4 de octubre de 2021

Vacunación contra el Covid-19: se exagera la evidencia de la disminución de la inmunidad

24 septiembre 2021

Centrarse en la disminución de la inmunidad en los países de altos ingresos desvía la atención y los suministros limitados de vacunas de la necesidad urgente de vacunación primaria de las personas sin inmunidad, particularmente en los países de ingresos bajos y medios. Esto empeorará las inaceptables desigualdades en materia de vacunas, prolongará la pandemia y sus devastadores impactos socioeconómicos y de salud pública, y aumentará el riesgo de nuevas variantes. La rápida ampliación de la cobertura de vacunación a nivel mundial sigue siendo la prioridad de salud pública más urgente. BMJ 23 de septiembre de 2021

La FDA autoriza una dosis de refuerzo de la vacuna contra el COVID-19 de Pfizer-BioNTech para determinadas poblaciones

24 septiembre 2021

La Administración de Alimentos y Medicamentos de los EE. UU. (FDA, por sus siglas en inglés) enmendó la autorización de uso de emergencia (EUA, por sus siglas en inglés) de la vacuna contra el COVID-19 de Pfizer-BioNTech para permitir el uso de una dosis única de refuerzo, que se administrará al menos seis meses después de completar la serie primaria con la vacuna contra el COVID-19 de Pfizer-BioNTech en: personas de 65 años o mayores, personas de 18 a 64 años de edad con alto riesgo de contraer COVID-19 grave; y personas de 18 a 64 años de edad cuya exposición institucional u ocupacional frecuente al SARS-CoV-2 los pone en alto riesgo de complicaciones graves por COVID-19, incluyendo COVID-19 de gravedad. FDA, 22 de septiembre de 2021

Categorias

Etiquetas