Farmacología

Budesonida inhalada para COVID-19 en personas con alto riesgo de complicaciones en la comunidad del Reino Unido (ensayo PRINCIPLE)

17 agosto 2021

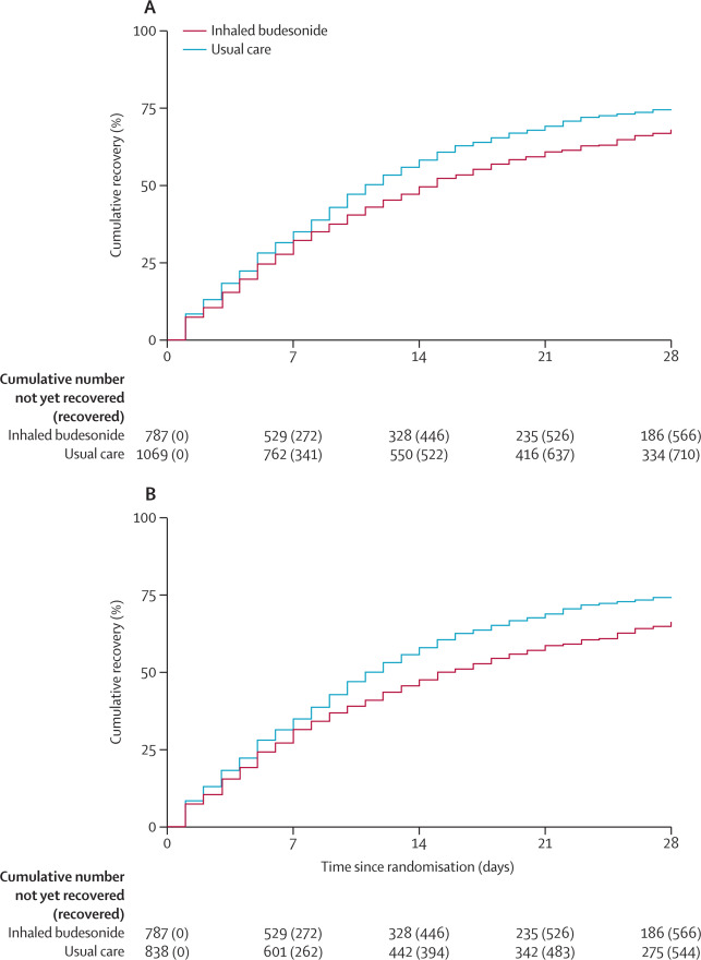
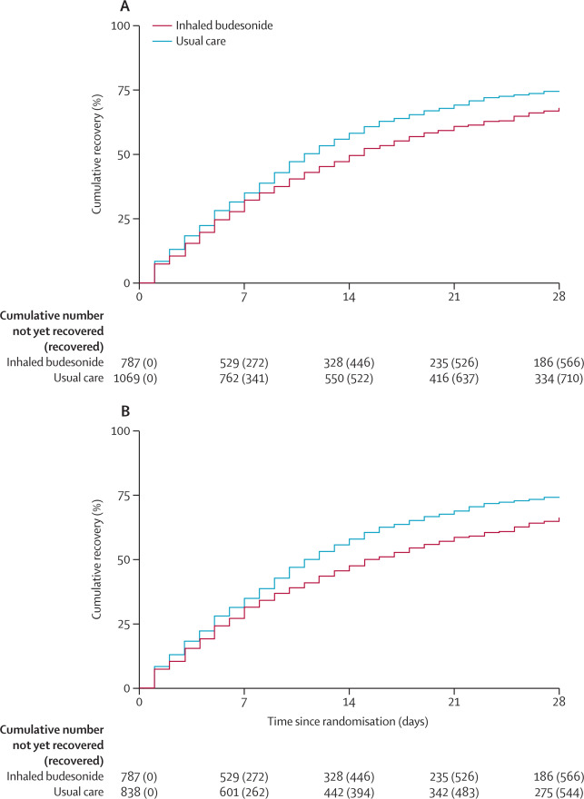
La budesonida inhalada mejora el tiempo de recuperación, con la posibilidad de reducir también los ingresos hospitalarios o las muertes (aunque nuestros resultados no alcanzaron el umbral de superioridad), en personas con COVID-19 en la comunidad que tienen un mayor riesgo de complicaciones. La budesonida inhalada mejora el tiempo de recuperación, con la posibilidad de reducir también los ingresos hospitalarios o las muertes (aunque nuestros resultados no alcanzaron el umbral de superioridad), en personas con COVID-19 en la comunidad que tienen un mayor riesgo de complicaciones. Lancet, 10 de agosto de 2021

Budesonida inhalada en el tratamiento del COVID-19 temprano (STOIC): un ensayo controlado aleatorizado de fase 2, abierto

13 abril 2021

En este ensayo fase II, abierto, la administración temprana de budesonida inhalada reduce la probabilidad de necesitar atención médica urgente y reduce el tiempo de recuperación después del COVID-19 inicial. Lancet Respir Med, 9 de abril de 2021

Categorias

Etiquetas