Farmacología

Seguridad y eficacia de la vacuna de ARNm BNT162b2 Covid-19 ( Pfizer/BioNTech)

10 diciembre 2020

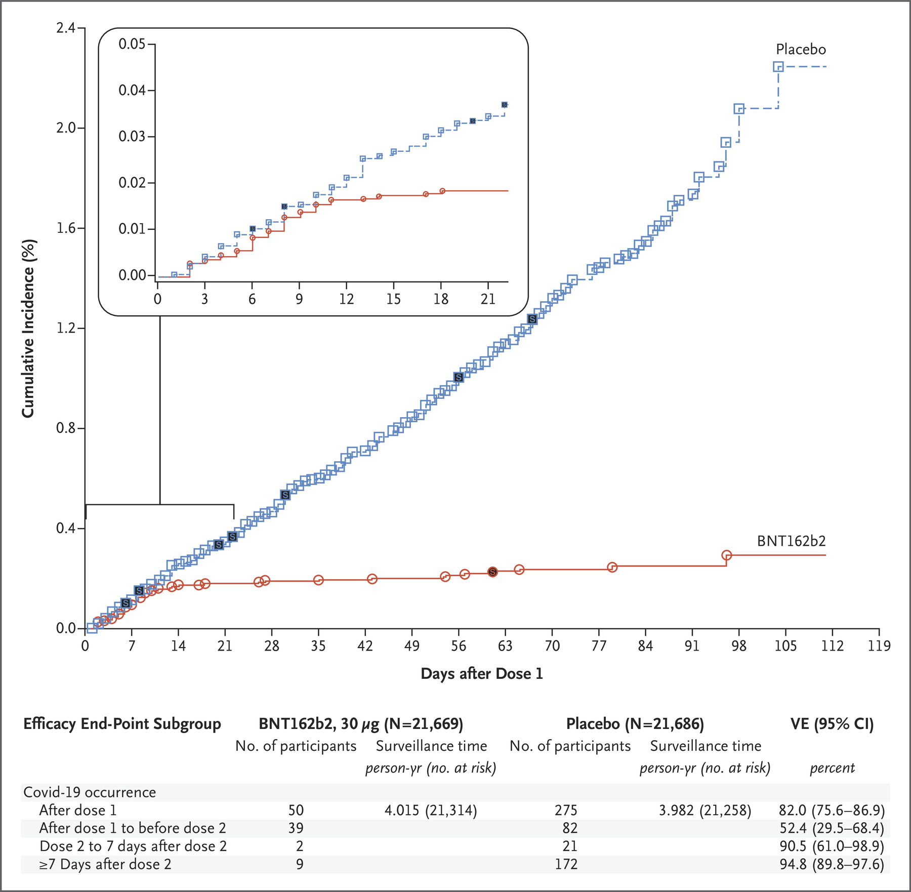
Un régimen de dos dosis de BNT162b2 confirió una protección del 95% contra Covid-19 en personas de 16 años o más. La seguridad durante una mediana de 2 meses fue similar a la de otras vacunas virales. N Eng J Med, 10 de diciembre de 2020

BioNTech y Pfizer publican datos intermedios de eficacia de su vacuna contra la COVID-19

10 noviembre 2020

La compañía ha comunicado datos preliminares extraídos del ensayo clínico en fase III que todavía sigue su curso. Los resultados resultan prometedores con un 90% de eficacia vacunal.El ensayo evalúa la eficacia de la vacuna administrando vacuna o placebo a los voluntarios y monitorizando e identificando cuántos positivos se producen en COVID-19.Es necesario esperar a que el ensayo finalice para poder obtener todos los datos y establecer conclusiones sólidas.La EMA empezó el proceso “rolling review” de esta vacuna el pasado 6 de octubre, pero la evaluación formal de los datos de eficacia todavía no ha comenzado.Hasta que no se haya efectuado una evaluación formal de todos los datos no se podrán extraer conclusiones, pero los resultados son esperanzadores.  AEMPS, 10 de noviembre de 2020

Categorias

Etiquetas