Farmacología

Carga mundial y regional de cáncer atribuible a factores de riesgo modificables para fundamentar la prevención

09 febrero 2026

El tabaquismo (15,1%), las infecciones (10,2%) y el consumo de alcohol (3,2%) fueron los principales factores que contribuyeron a la carga de cáncer. Los cánceres de pulmón, estómago y cuello uterino representaron casi la mitad de los cánceres prevenibles. Reforzar los esfuerzos para reducir las exposiciones modificables sigue siendo fundamental para la prevención mundial del cáncer. Nature Medicine 3 de febrero de 2026

Carga de enfermedades cardiovasculares y gestión de factores de riesgo en sobrevivientes de cáncer: perspectivas sobre una población urbana multiétnica y socioeconómicamente desfavorecida.

19 mayo 2025

Los supervivientes de cáncer presentan un riesgo elevado de carga de enfermedad cardiovascular , con variaciones según el tipo de cáncer y la etnia. A pesar de un control comparable o ligeramente mejor de los principales factores de riesgo, una proporción significativa de supervivientes de cáncer no alcanza los objetivos recomendados por las guías, lo que pone de relieve la necesidad de optimizar las estrategias de tratamiento, especialmente en los subgrupos de alto riesgo.  Heart, 13 de marzo de 2025

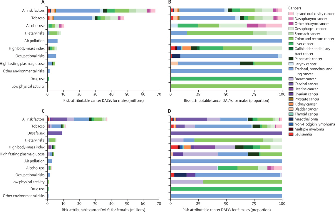
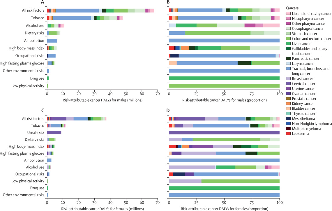
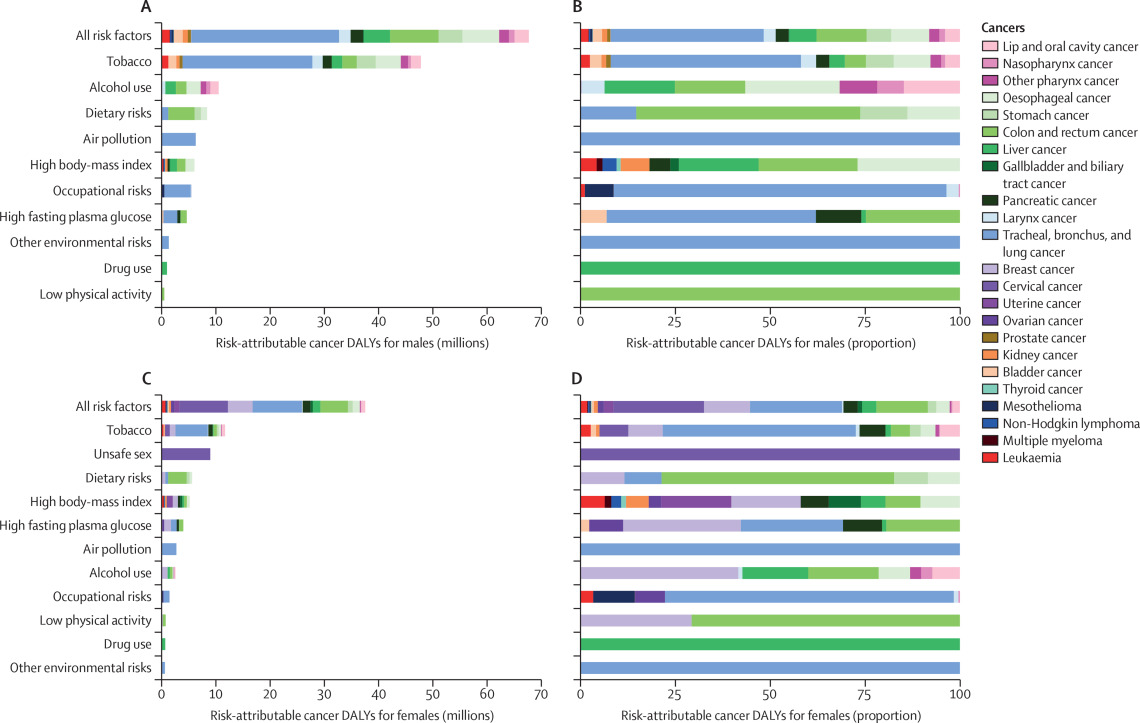
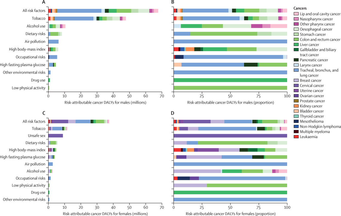
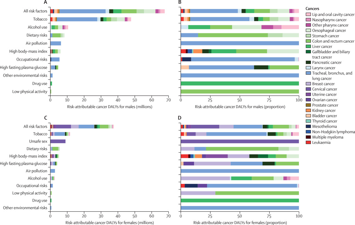
La carga mundial de cáncer atribuible a factores de riesgo, 2010-19: Estudio de la carga mundial de morbilidad 2019

19 agosto 2022

Este análisis sistemático para el Estudio de la carga mundial de morbilidad 2019, encontró que los principales factores de riesgo que contribuyeron a la carga global de cáncer en 2019 fueron conductuales, mientras que los factores de riesgo metabólicos experimentaron los mayores aumentos entre 2010 y 2019. Reducir la exposición a estos factores de riesgo modificables disminuiría la mortalidad por cáncer y las tasas de años de vida ajustados por discapacidad en todo el mundo, y las políticas deben adaptarse adecuadamente a carga local de factores de riesgo de cáncer. Lancet, 20 de agosto de 2022

Categorias

Etiquetas