Farmacología

Carga mundial, regional y nacional de cáncer de mama en mujeres, 1990-2023, con previsiones hasta 2050

12 marzo 2026

La incidencia estable y la disminución de las tasas de mortalidad por cáncer de mama en mujeres en países de altos ingresos reflejan el éxito en la detección, el diagnóstico y el tratamiento. En cambio, el aumento simultáneo de la incidencia y la mortalidad en otras regiones indica deficiencias en los sistemas de salud. Sin intervenciones eficaces, muchos países no alcanzarán el ambicioso objetivo de la Iniciativa Mundial contra el Cáncer de Mama de la OMS de lograr una reducción anual del 2,5 % en las tasas de mortalidad estandarizadas por edad para 2040. La creciente carga de cáncer de mama, que afecta desproporcionadamente a algunas de las poblaciones más vulnerables del mundo, exacerbará aún más las desigualdades en salud en todo el mundo si no se toman medidas inmediatas y decisivas.  Lancet Oncol. Marzo de 2026

Carga mundial, regional y nacional del cáncer, 1990-2023, con previsiones hasta 2050:  análisis sistemático

29 septiembre 2025

El cáncer contribuye significativamente a la carga mundial de enfermedad, con un número creciente de casos y muertes previsto hasta 2050 y un crecimiento desproporcionado de la carga en países con recursos escasos. La disminución de las tasas de mortalidad por cáncer estandarizadas por edad es alentadora, pero insuficiente para alcanzar la meta de los ODS establecida para 2030. Abordar de forma eficaz y sostenible la carga mundial del cáncer requerirá iniciativas nacionales e internacionales integrales que consideren los sistemas de salud y el contexto en el desarrollo e implementación de estrategias de control del cáncer en todo el proceso de prevención, diagnóstico y tratamiento. Lancet,  24 de septiembre de 2025

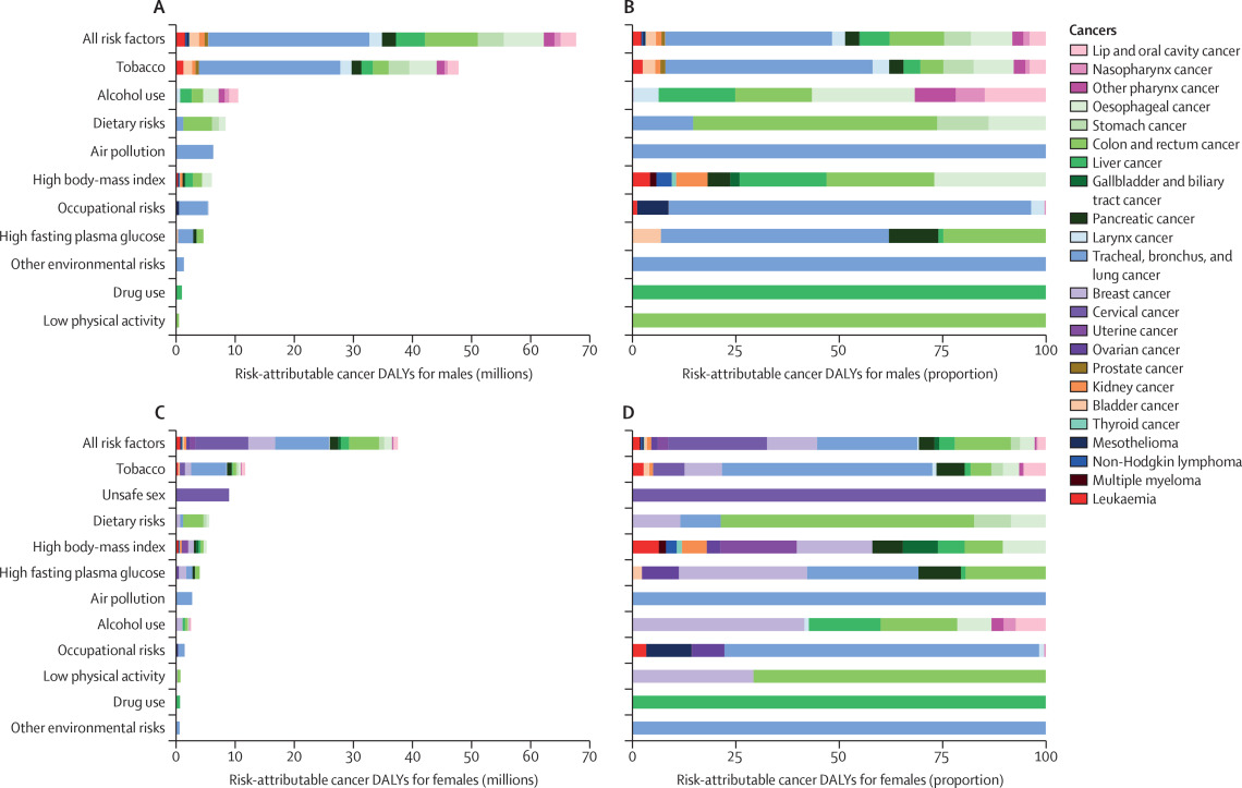
La carga mundial de cáncer atribuible a factores de riesgo, 2010-19: Estudio de la carga mundial de morbilidad 2019

19 agosto 2022

Este análisis sistemático para el Estudio de la carga mundial de morbilidad 2019, encontró que los principales factores de riesgo que contribuyeron a la carga global de cáncer en 2019 fueron conductuales, mientras que los factores de riesgo metabólicos experimentaron los mayores aumentos entre 2010 y 2019. Reducir la exposición a estos factores de riesgo modificables disminuiría la mortalidad por cáncer y las tasas de años de vida ajustados por discapacidad en todo el mundo, y las políticas deben adaptarse adecuadamente a carga local de factores de riesgo de cáncer. Lancet, 20 de agosto de 2022

Categorias

Etiquetas