Farmacología

Un enfoque basado en la evidencia para la vacunación contra la COVID-19

22 mayo 2025

La FDA revisa su recomendación de vacunación anual universal de refuerzo contra COVID-19, considerando que si bien la eficacia está establecida para los mayores de 65 años y otros grupos de cualquier edad con riesgo aumentado de padecer una forma grave de la enfermedad, debe estudiarse en ensayos clínicos apropiados el eventual beneficio en personas más jóvenes y sin comorbilidades. New England Journal of Medicine, 20 de mayo de 2025.

Cambios en la esperanza de vida en los países europeos entre 1990 y 2021:  subanálisis de las causas y los factores de riesgo del Estudio de la carga mundial de morbilidad 2021

20 febrero 2025

Los países que mejor mantuvieron las mejoras en la esperanza de vida después de 2011 (Noruega, Islandia, Bélgica, Dinamarca y Suecia) lo hicieron gracias a un mejor mantenimiento de las reducciones de la mortalidad por enfermedades cardiovasculares y neoplasias, respaldadas por menores exposiciones a riesgos importantes, posiblemente mitigadas por políticas gubernamentales. Las continuas mejoras en la esperanza de vida en cinco países durante 2019-21 indican que estos países estaban mejor preparados para resistir la pandemia de COVID-19. En cambio, los países con la mayor desaceleración en las mejoras de la esperanza de vida después de 2011 pasaron a tener algunas de las mayores reducciones de la esperanza de vida en 2019-21. Estos hallazgos sugieren que las políticas gubernamentales que mejoran la salud de la población también generan resiliencia ante futuras crisis. Esas políticas incluyen la reducción de la exposición de la población a los principales riesgos previos de enfermedades cardiovasculares y neoplasias, como las dietas nocivas y la baja actividad física, el abordaje de los determinantes comerciales de la mala salud y la garantía del acceso a servicios de salud asequibles. Lancet Public Health, 18 de febrero de 2025

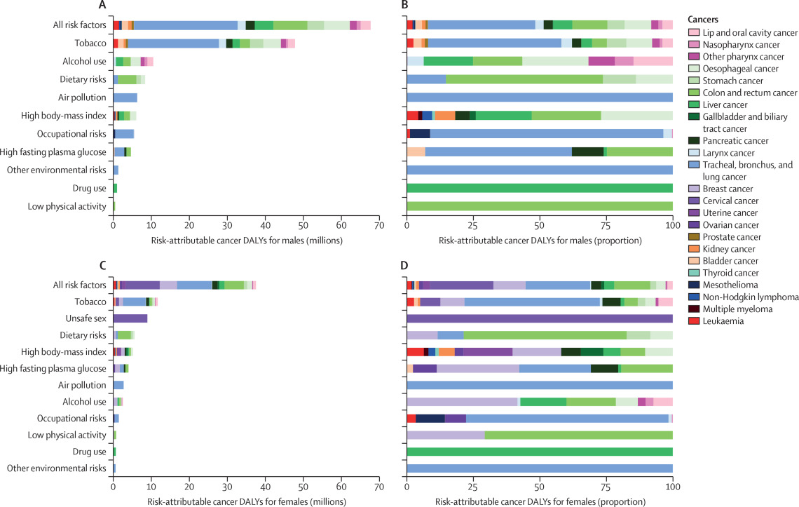
La carga mundial de cáncer atribuible a factores de riesgo, 2010-19: Estudio de la carga mundial de morbilidad 2019

19 agosto 2022

Este análisis sistemático para el Estudio de la carga mundial de morbilidad 2019, encontró que los principales factores de riesgo que contribuyeron a la carga global de cáncer en 2019 fueron conductuales, mientras que los factores de riesgo metabólicos experimentaron los mayores aumentos entre 2010 y 2019. Reducir la exposición a estos factores de riesgo modificables disminuiría la mortalidad por cáncer y las tasas de años de vida ajustados por discapacidad en todo el mundo, y las políticas deben adaptarse adecuadamente a carga local de factores de riesgo de cáncer. Lancet, 20 de agosto de 2022

Estimaciones mundiales, regionales y nacionales de la población con mayor riesgo de COVID-19 grave

19 junio 2020

Aproximadamente uno de cada cinco individuos en todo el mundo podría tener un mayor riesgo de COVID-19 grave, si se infectan, debido a condiciones de salud subyacentes, pero este riesgo varía considerablemente según la edad. Nuestras estimaciones son inciertas y se centran en las condiciones subyacentes en lugar de otros factores de riesgo como el origen étnico, la privación socioeconómica y la obesidad, pero proporcionan un punto de partida para considerar el número de personas que podrían necesitar protección o vacunación a medida que se desarrolla la pandemia mundial. Lancet Glob Health, 15 de junio de 2020

Baja la mortalidad por ACV en el Reino Unido: ¿hay menos casos o se tratan mejor?

23 mayo 2019

Las mejoras en la atención de los accidentes cerebrovasculares contribuyeron más que la reducción en el número de casos al descenso de la mortalidad entre 2001 y 2010. Las tasas de ACV aumentaron en menores de 55 años. British Medical Journal, 22 de mayo de 2019

Categorias

Etiquetas