Farmacología

Protección de la infección previa y de las vacunas ARNm contra la variante omicron

11 julio 2022

La infección previa con otras cepas de SARS-CoV2 redujo a la mitad los casos sintomáticos de la variante omicron, y la cifra sube hasta 75% si además se recibieron tres dosis de vacuna. En cuanto a los que no tuvieron infección previa, dos dosis de vacuna no fueron efectivas pero tres dosis lograron un 50-60% de protección. En cuanto a las formas severas de la enfermedad y a la mortalidad por COVID-19, la protección superó 96% para la variante BA.1 y 73% para la BA.2 con cualquier combinación de infección previa y vacunación. New England Journal of Medicine, 7 de julio de 2022.

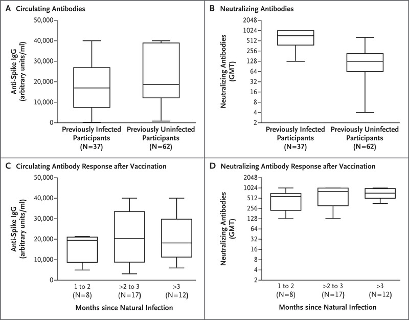
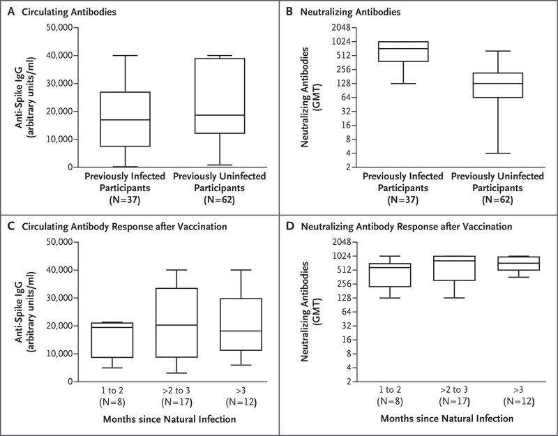
Respuesta de anticuerpos SARS-CoV-2 en personas con infección natural pasada

06 julio 2021

Los hallazgos proporcionan evidencia de que después de la administración de una sola dosis de vacuna, la respuesta humoral contra el SARS-CoV-2 en personas con antecedentes de infección por SARS-CoV-2 es mayor que la respuesta en participantes no infectados previamente que han recibido una segunda dosis. N Engl J Med, 1 de julio de 2021

Categorias

Etiquetas