Farmacología

Efectos del nivel educativo sobre la mortalidad prematura en Cuba

03 noviembre 2022

En comparación con una educación universitaria, los hombres que no terminaron la educación primaria tenían aproximadamente un 60 % más de riesgo de mortalidad prematura, mientras que el riesgo se duplicó aproximadamente en las mujeres. El 28% de las muertes prematuras podrían atribuirse a niveles educativos más bajos. El 31 % de la asociación con la educación en hombres y el 18 % en mujeres podía explicarse por factores de riesgo modificables, como el tabaquismo. The Lancet Public Health, 1º de noviembre de 2022.

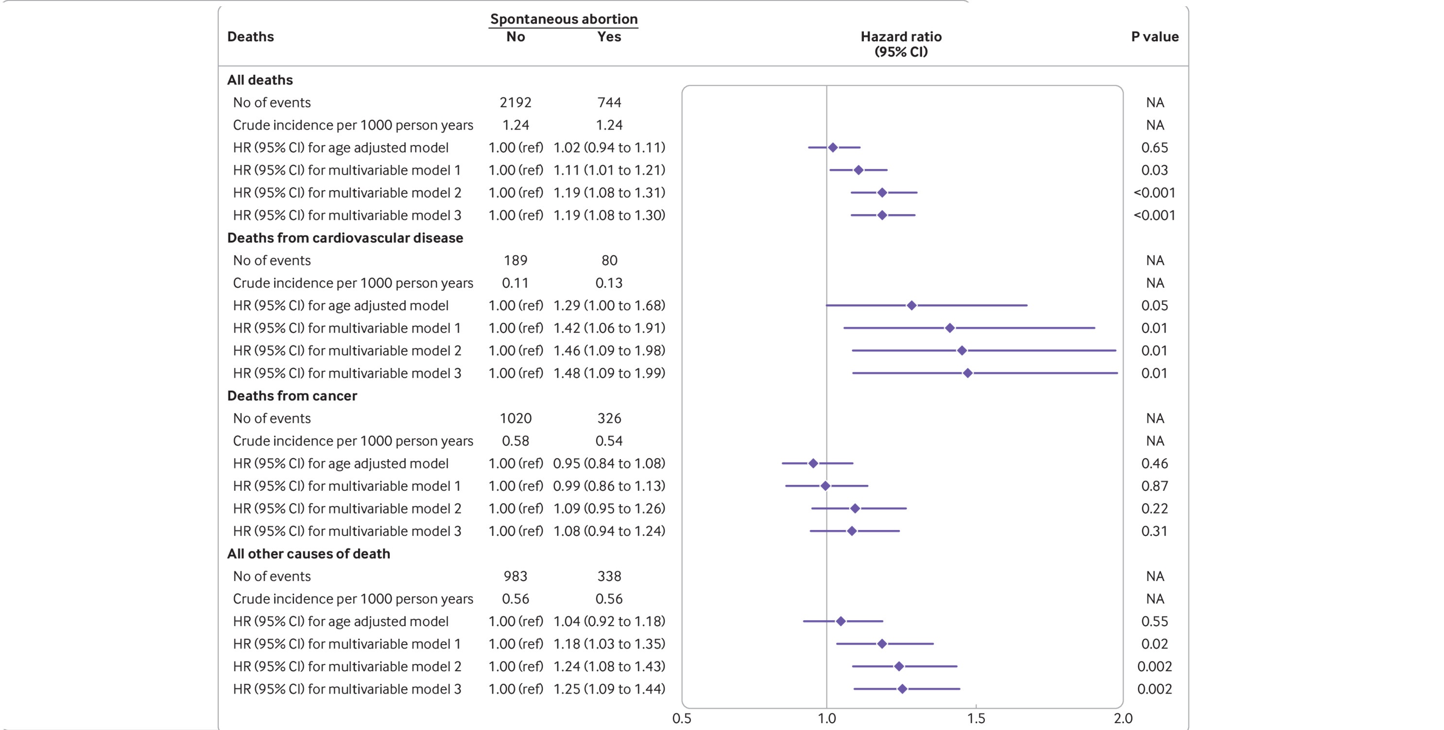
Abortos espontáneos y mortalidad prematura

25 marzo 2021

Si bien los valores absolutos del aumento de riesgo fueron pequeños, la ocurrencia de abortos espontáneos se asoció con una mayor probabilidad de mortalidad prematura, particularmente por enfermedad cardiovascular. British Medical Journal, 24 de marzo de 2021.

Regularidad del ciclo menstrual y muerte prematura

05 octubre 2020

Aunque no están aclarados los mecanismos intervinientes, las mujeres con ciclos menstruales irregulares y prolongados en la adolescencia y en la edad adulta tienen un mayor riesgo de mortalidad antes de los 70 años. No se descarta la existencia de factores de confusión para explicar esta asociación. BMJ, 30 de septiembre de 2020.

Categorias

Etiquetas