Farmacología

Asociación de vacunación de ARNm con características clínicas y virológicas de COVID-19 entre trabajadores esenciales y de primera línea de EE. UU.

24 octubre 2022

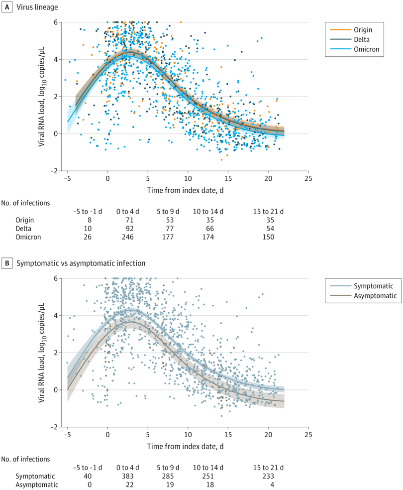
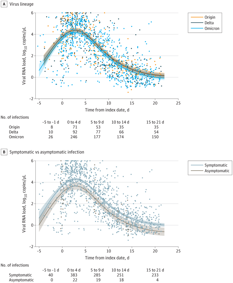
En una cohorte de trabajadores esenciales y de primera línea de EE. UU. con infecciones por SARS-CoV-2, la vacunación reciente con 2 o 3 dosis de vacuna de ARNm menos de 150 días antes de la infección con variantes Delta u Omicron, en comparación con no vacunarse, se asoció con atenuación síntomas, duración de la enfermedad, búsqueda de atención médica o carga viral para algunas comparaciones, aunque la precisión y la significación estadística de las estimaciones específicas variaron. JAMA. 18 de octubre de 2022

Vacunación con BNT162b2 (Pfizer-BioNTech) e incidencia de infecciones por SARS-CoV-2 sintomáticas y asintomáticas en trabajadores de la salud.

13 mayo 2021

Entre los trabajadores sanitarios en un solo centro en Tel Aviv, Israel, recibir la vacuna BNT162b2 respecto a ninguna se asoció con una incidencia significativamente menor de infección por SARS-CoV-2 sintomática (97% ) y asintomática (86%) 7 días después de la segunda dosis. Los hallazgos están limitados por el diseño observacional. JAMA 06 de mayo de 2021

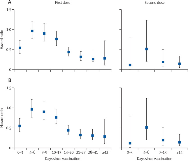
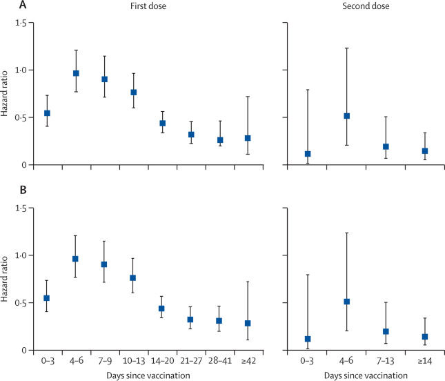
Cobertura de la vacuna COVID-19 en trabajadores de la salud en Inglaterra y efectividad de la vacuna de ARNm BNT162b2 contra la infección (SIREN): un estudio de cohorte prospectivo, multicéntrico

26 abril 2021

la vacuna BNT162b2 puede prevenir la infección sintomática y asintomática en adultos en edad laboral. Esta cohorte fue vacunada cuando la variante dominante en circulación era B1.1.7 y muestra efectividad contra esta variante. Lancet, 23 de abril de 2021

Categorias

Etiquetas