Farmacología

Exceso de mortalidad entre los médicos estadounidenses durante la pandemia de COVID-19

07 febrero 2023

Desde marzo de 2020 hasta diciembre de 2021, los médicos estadounidenses experimentaron 622 muertes más de lo esperado. No hubo un exceso de muertes entre los médicos después de abril de 2021, coincidiendo con la disponibilidad generalizada de vacunas contra el COVID-19. En todos los grupos de edad, los médicos tenían un exceso de mortalidad sustancialmente menor que la población general; sin embargo, los médicos activos tenían un exceso de mortalidad más bajo que los médicos no activos a pesar de su mayor riesgo de contraer la infección por SARS-CoV-2. JAMA Intern Med  6 de febrero de 2023

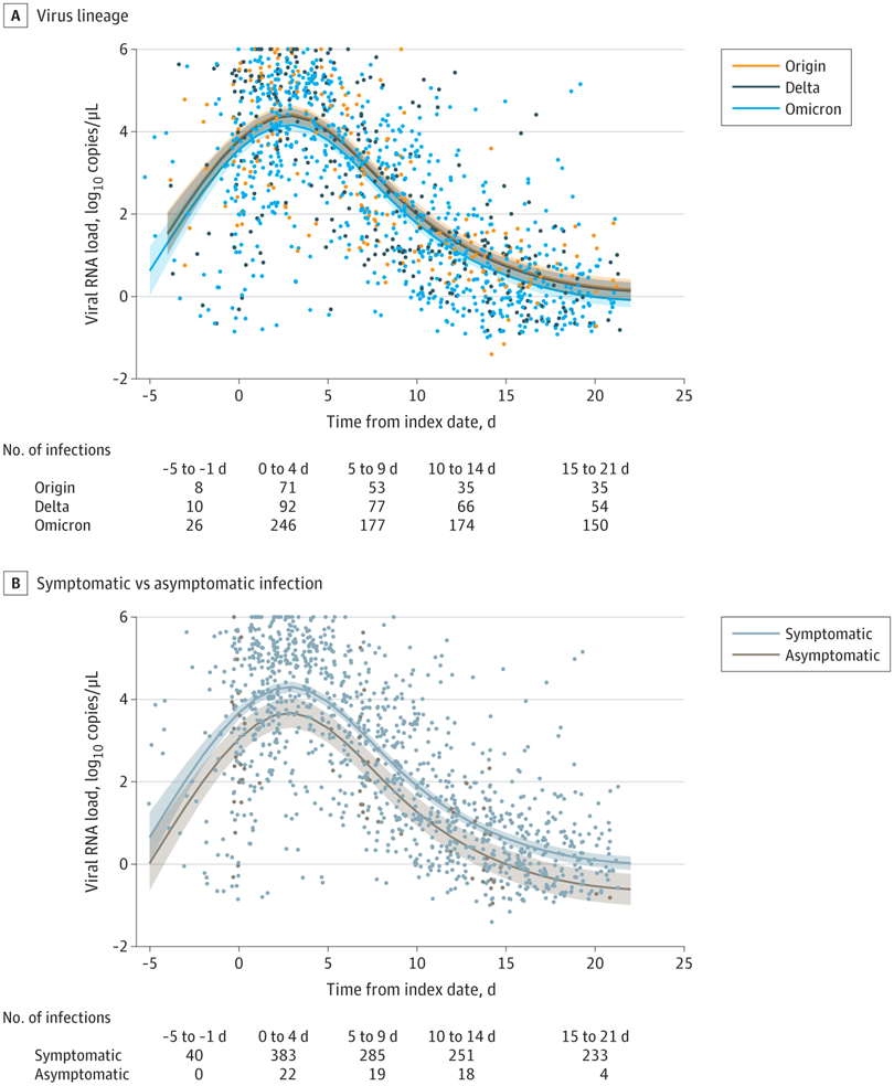
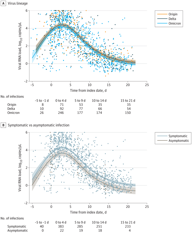
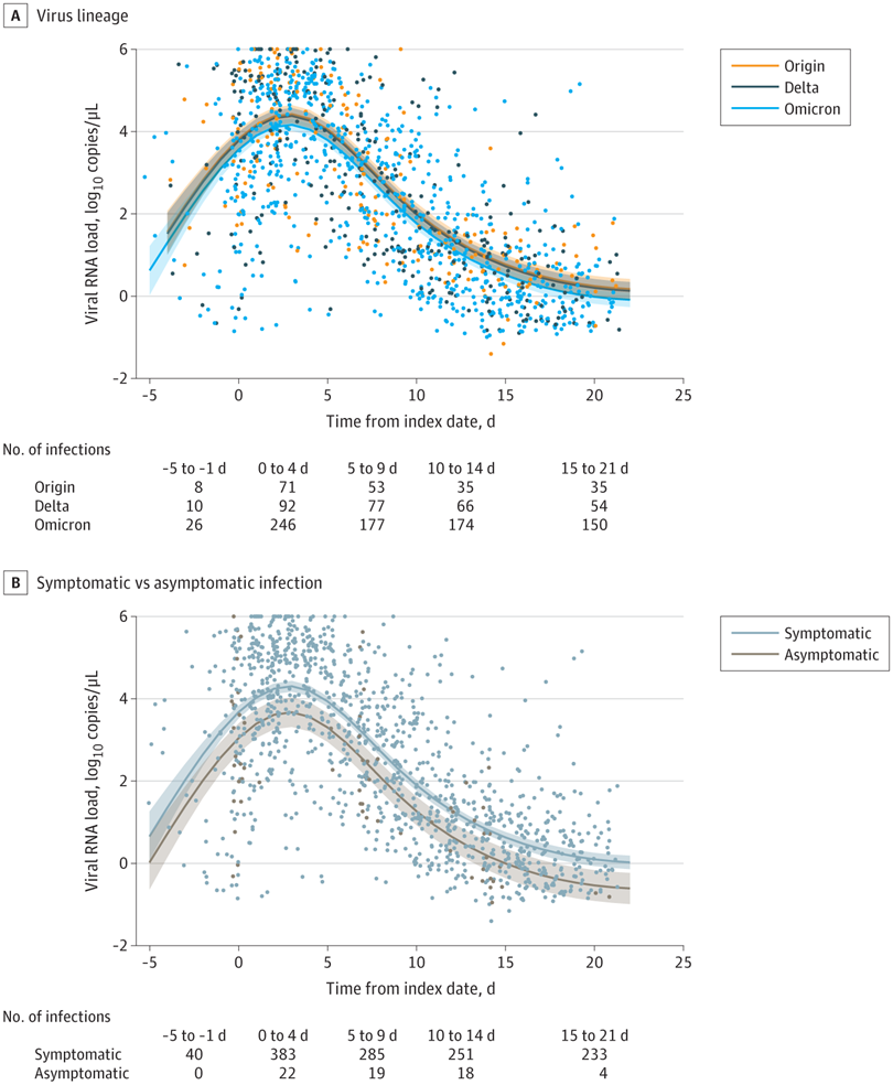
Asociación de vacunación de ARNm con características clínicas y virológicas de COVID-19 entre trabajadores esenciales y de primera línea de EE. UU.

24 octubre 2022

En una cohorte de trabajadores esenciales y de primera línea de EE. UU. con infecciones por SARS-CoV-2, la vacunación reciente con 2 o 3 dosis de vacuna de ARNm menos de 150 días antes de la infección con variantes Delta u Omicron, en comparación con no vacunarse, se asoció con atenuación síntomas, duración de la enfermedad, búsqueda de atención médica o carga viral para algunas comparaciones, aunque la precisión y la significación estadística de las estimaciones específicas variaron. JAMA. 18 de octubre de 2022

Conocimientos, actitudes y prácticas de farmacovigilancia en el contexto del COVID-19 en profesionales de la salud del Seguro Social del Perú

30 junio 2022

Si bien los profesionales en el Seguro Social de Salud del Perú (EsSalud) demostraron tener alto conocimiento y actitud positiva para implementar farmacovigilancia, esto no se ve reflejado en la práctica de esta actividad en la época de pandemia por el SARS-CoV-2. Se deben emplear estrategias para integrar a la farmacovigilancia en las actividades asistenciales en beneficio de la seguridad del paciente. Rev Peru Med Exp Salud Publica, 24 de junio de 2022

Factores que contribuyen al estrés agudo en trabajadores de la salud que atienden a pacientes con COVID-19 en Argentina, Chile, Colombia y Ecuador

26 mayo 2022

Alrededor de un tercio de los profesionales experimentó un estrés agudo, aumentando en intensidad a medida que aumentaba la incidencia de COVID-19 y a medida que se infectaban o tenían dudas sobre si estaban infectados. La escala EASE podría ser un activo valioso para monitorear los niveles de estrés agudo entre los profesionales de la salud en América Latina. Scientific Reports 19 de mayo de 2022

Estudio multicéntrico de incidencia y determinantes de Covid-19 en médicos de Argentina

18 abril 2022

El riesgo de enfermedad por el SARS-CoV-2 aumentó considerablemente con cada episodio de aislamiento por contacto estrecho del profesional. La residencia en la Ciudad Autónoma de Buenos Aires, el traslado en vehículo individual y el trabajo en áreas de alto riesgo lo redujeron. Dada la alta frecuencia de contactos estrechos en el ámbito laboral recomendamos reforzar las medidas de prevención en áreas de descanso y en sectores no COVID. Medicina (Buenos Aires), abril de 2022.

Categorias

Etiquetas