Farmacología

Tendencias en la incidencia del cáncer en adultos jóvenes y mayores: un análisis comparativo internacional

22 octubre 2025

Las tasas de incidencia de cáncer aumentaron para varios tipos de cáncer en muchos de los países estudiados; sin embargo, aparte del cáncer colorrectal, estos aumentos se produjeron tanto en adultos jóvenes como mayores. Estos hallazgos pueden contribuir a la investigación futura y a la elaboración de directrices clínicas y de salud pública.  Annals of Internal Medicine, octubre de 2025.

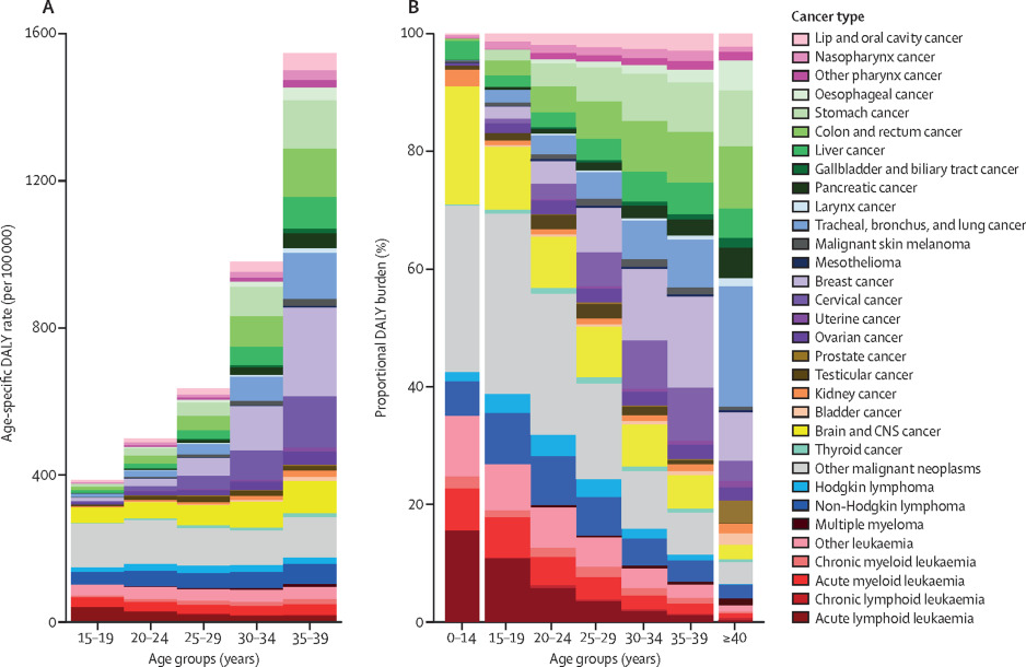
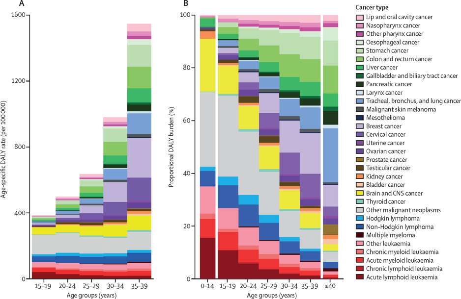
Análisis de la carga mundial del cáncer en adolescentes y adultos jóvenes en 2019

17 diciembre 2021

Los cánceres de adolescentes y adultos jóvenes contribuyeron sustancialmente a la carga global de morbilidad de los adolescentes y adultos jóvenes a nivel mundial en 2019. Estos resultados proporcionan nuevos conocimientos sobre la distribución y la magnitud de la carga de cáncer de adolescentes y adultos jóvenes en todo el mundo. Con notables diferencias observadas en los entornos de índices sociodemográficos  diferentes, estas estimaciones pueden informar los esfuerzos de control del cáncer a nivel mundial y nacional.  Lancet Oncol, 3 de diciembre de 2021.

Categorias

Etiquetas