Farmacología

No inferioridad de una dosis de vacuna contra el VPH frente a dos dosis

04 diciembre 2025

Una dosis de la vacuna bivalente o nonavalente contra el VPH proporcionó protección contra la infección por VPH16 o VPH18 y no fue inferior a dos dosis. New England Journal of Medicine, 3 de diciembre de 2025.

Tendencias de mortalidad, enfermedades crónicas, obesidad, estado funcional y  síntomas en niños y adolescentes de EE. UU.

10 julio 2025

Analizando índices de morbilidad y mortalidad en los menores de 20 años entre 2007 y 2023, los autores concluyen que la salud de los niños y adolescentes estadounidenses ha empeorado en una amplia gama de indicadores durante este período. El amplio alcance del deterioro resalta la necesidad de identificar y abordar sus causas fundamentales. JAMA, 7 de julio de 2025.

Mortalidad por violencia interpersonal en adolescentes y jóvenes en América Latina

02 junio 2023

La violencia interpersonal (VI) es todavía un problema de salud pública importante en América Latina, que afecta sobre todo a los adolescentes y jóvenes de los países con menor desarrollo socioeconómico. Es urgente evaluar las políticas públicas implementadas para conocer las causas que impiden la reducción de las brechas actuales, y aplicar planes que actúen sobre los determinantes sociales de la VI y propongan una transformación positiva con equidad. El informe del Estudio de la carga global de enfermedades, lesiones y factores de riesgo puede ser un insumo importante para el diseño, la implementación y el seguimiento de políticas públicas para la prevención de la violencia interpersonal en la Región. Rev Panam Salud Publica. 1 de junio de 2023

Aceptabilidad y continuidad del uso del implante anticonceptivo subdérmico entre adolescentes y mujeres jóvenes en Argentina.

13 abril 2023

Los resultados de este estudio de cohorte retrospectivo respaldan la política pública de distribución gratuita de implantes en el sector de la salud pública. Esta es una política pública sostenible que contribuye a la equidad y el acceso a métodos anticonceptivos efectivos. Es apropiado para adolescentes y mujeres jóvenes y también reducirá los embarazos no deseados. Nuestros resultados sugieren que asesorar a los pacientes es clave antes de la inserción del implante. Sex Reprod Health Matters, 12 de abril de 2023

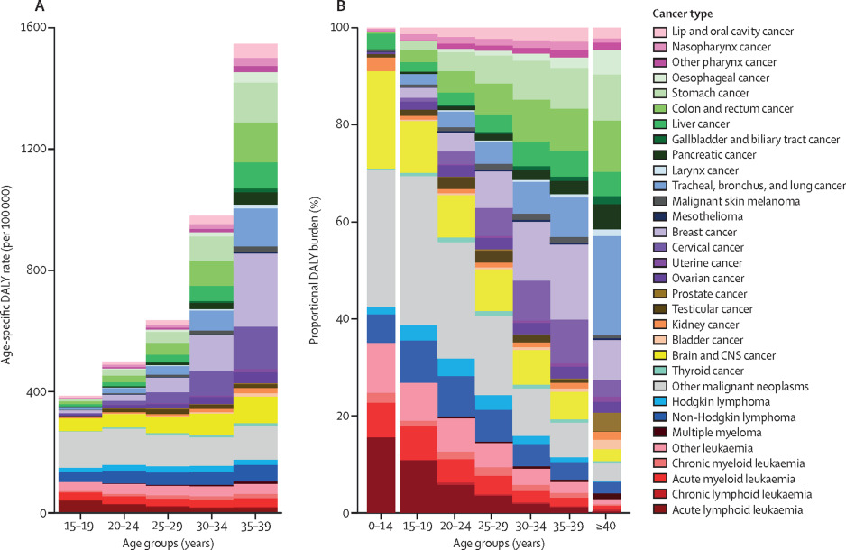
Análisis de la carga mundial del cáncer en adolescentes y adultos jóvenes en 2019

17 diciembre 2021

Los cánceres de adolescentes y adultos jóvenes contribuyeron sustancialmente a la carga global de morbilidad de los adolescentes y adultos jóvenes a nivel mundial en 2019. Estos resultados proporcionan nuevos conocimientos sobre la distribución y la magnitud de la carga de cáncer de adolescentes y adultos jóvenes en todo el mundo. Con notables diferencias observadas en los entornos de índices sociodemográficos  diferentes, estas estimaciones pueden informar los esfuerzos de control del cáncer a nivel mundial y nacional.  Lancet Oncol, 3 de diciembre de 2021.

Categorias

Etiquetas