Farmacología

Tendencias en la incidencia del cáncer en adultos jóvenes y mayores: un análisis comparativo internacional

22 octubre 2025

Las tasas de incidencia de cáncer aumentaron para varios tipos de cáncer en muchos de los países estudiados; sin embargo, aparte del cáncer colorrectal, estos aumentos se produjeron tanto en adultos jóvenes como mayores. Estos hallazgos pueden contribuir a la investigación futura y a la elaboración de directrices clínicas y de salud pública.  Annals of Internal Medicine, octubre de 2025.

Cánceres gastrointestinales de aparición temprana. Revisión

21 julio 2025

Los cánceres gastrointestinales de inicio temprano, generalmente definidos como cánceres diagnosticados en personas menores de 50 años, se encuentran entre el subgrupo más grande de cánceres de inicio temprano a nivel mundial. El tratamiento es similar al de los cánceres gastrointestinales de inicio tardío y generalmente consiste en una combinación de quimioterapia, cirugía y radioterapia, según el tipo y el estadio del cáncer. El pronóstico para los pacientes con cánceres gastrointestinales de inicio temprano es similar o peor que el de los pacientes con cánceres gastrointestinales de inicio tardío, lo que resalta la necesidad de mejorar los métodos de prevención y detección temprana. JAMA, 17 de julio  de 2025

Cáncer cerebral después de la exposición a la radiación de los exámenes de tomografía computada de niños y adultos jóvenes: resultados del estudio de cohorte EPI-CT

12 diciembre 2022

La significativa relación dosis-respuesta observada entre la exposición a la radiación relacionada con la TC y el cáncer cerebral en este gran estudio multicéntrico con evaluación de dosis individual enfatiza la justificación cuidadosa de las TC pediátricas y el uso de dosis tan bajas como sea razonablemente posible. Lancet Oncol. 6 de diciembre de 2022

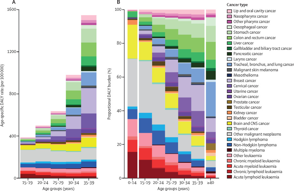
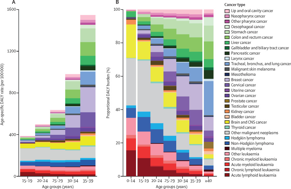
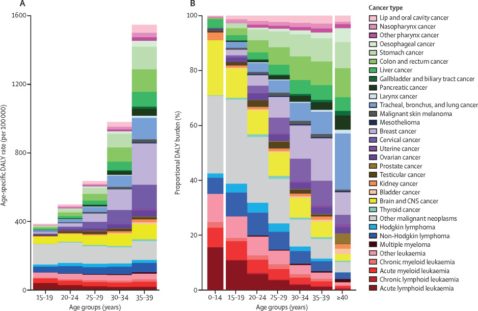
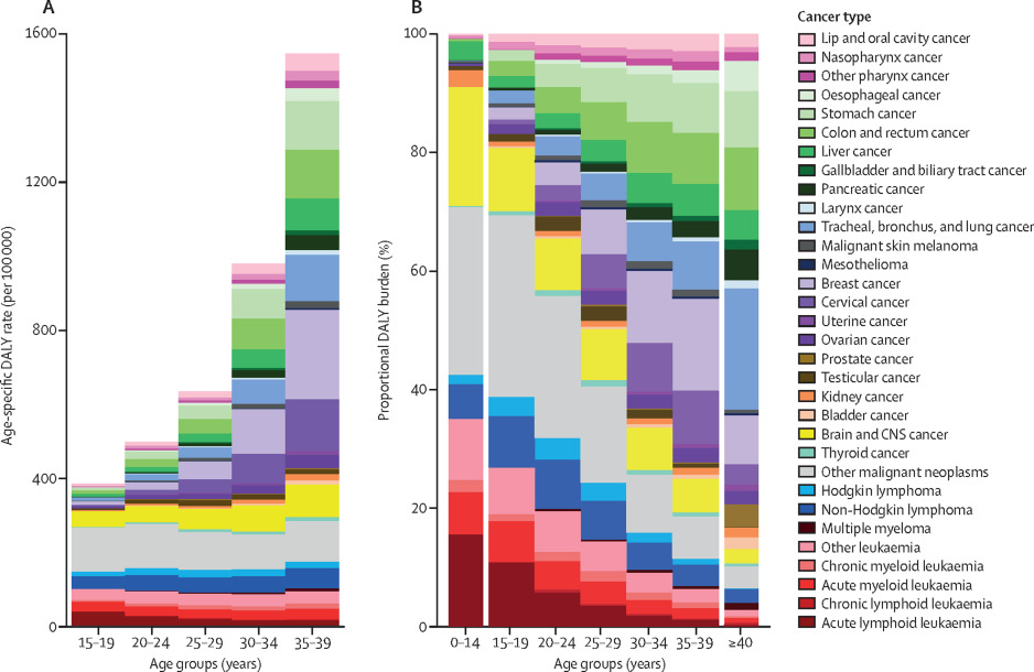
Análisis de la carga mundial del cáncer en adolescentes y adultos jóvenes en 2019

17 diciembre 2021

Los cánceres de adolescentes y adultos jóvenes contribuyeron sustancialmente a la carga global de morbilidad de los adolescentes y adultos jóvenes a nivel mundial en 2019. Estos resultados proporcionan nuevos conocimientos sobre la distribución y la magnitud de la carga de cáncer de adolescentes y adultos jóvenes en todo el mundo. Con notables diferencias observadas en los entornos de índices sociodemográficos  diferentes, estas estimaciones pueden informar los esfuerzos de control del cáncer a nivel mundial y nacional.  Lancet Oncol, 3 de diciembre de 2021.

Cambios en la incidencia del cáncer colorrectal en siete países de ingresos altos: estudio de base poblacional

24 mayo 2019

Lancet Gastroenterol Hepatol, 16 de mayo de 2019  Se encuentra un aumento sustancial en la incidencia de cáncer colorrectal en personas menores de 50 años en algunos de los países incluidos en el estudio. Se necesitan estudios futuros para establecer las causas de esta incidencia creciente que permitan el desarrollo de posibles estrategias preventivas y de detección temprana.

Categorias

Etiquetas