Farmacología

Melanoma cutáneo. Revisión

01 septiembre 2025

El melanoma es un cáncer frecuente en EE. UU. El tratamiento para el melanoma en estadio IA-IIA es la resección quirúrgica. La inmunoterapia anti-PD-1 tras la escisión quirúrgica mejora la supervivencia libre de recurrencia en el melanoma en estadio IIB-C. En el melanoma en estadio III, la inmunoterapia anti-PD-1 o la terapia con inhibidores de BRAF + MEK disminuyen el riesgo de recurrencia. El tratamiento de primera línea para el melanoma metastásico es el bloqueo dual de puntos de control con ipilimumab y nivolumab. JAMA, 25 de agosto  de 2025

El uso de hidroclorotiazida está asociado con el riesgo de carcinoma de células escamosas de piel y labios

11 marzo 2022

Los resultados de esta revisión sistemática y metanálisis confirman la asociación entre el uso de hidroclorotiazida y el desarrollo de carcinoma epidermoide cutáneo y labial. Eur J Clin Pharmacol, 8 marzo 2022

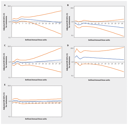
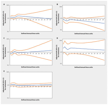
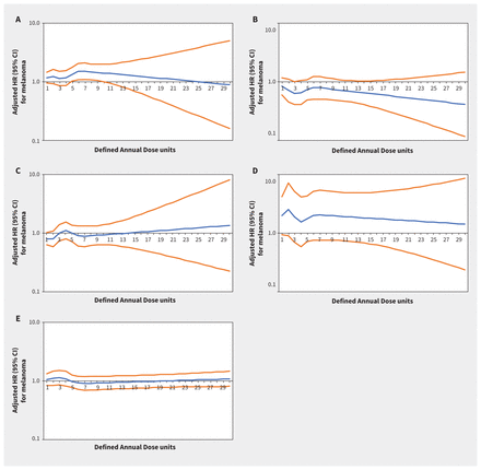
Asociación entre medicamentos antihipertensivos y riesgo de cáncer de piel en personas mayores de 65 años: un estudio poblacional

13 abril 2021

Una mayor exposición acumulada a las tiazidas se asoció con mayores tasas de incidencia de cáncer de piel en personas de 66 años o más. Puede justificarse la consideración de otros tratamientos antihipertensivos en pacientes con alto riesgo de cáncer de piel. CMAJ 12 de abril de 2021

Mebutato de ingenol y desarrollo de tumores cutáneos

22 octubre 2019

Mientras se completa la revisión de la relación beneficio / riesgo por la Agencia Europea de Medicamentos, la autoridad regulatoria británica difundió un alerta de seguridad para este producto de uso tópico, indicado en el tratamiento de algunos tipos de queratosis solar. MHRA, 18 de octubre de 2019

Ensayo aleatorizado de cuatro enfoques de tratamiento para la queratosis actínica

18 marzo 2019

la crema de fluorouracilo al 5%, fue el más efectivo de cuatro tratamientos .

Categorias

Etiquetas