Farmacología

¿Existe relación entre el grado de hidratación habitual y el envejecimiento?

02 enero 2023

Utilizando la natremia como un indicador indirecto del grado de hidratación, se encontró en la cohorte ARIC que un sodio plasmático superior a 142 mEq/l medido en la edad media de la vida se asoció en los 25 años posteriores a mayor riesgo del desarrollo de enfermedades crónicas y mortalidad prematura. Los autores concluyen que se necesitan estudios de intervención para confirmar el vínculo entre la hidratación y el envejecimiento. eBioMedicine, 2 de enero de 2023.

Efectos del nivel educativo sobre la mortalidad prematura en Cuba

03 noviembre 2022

En comparación con una educación universitaria, los hombres que no terminaron la educación primaria tenían aproximadamente un 60 % más de riesgo de mortalidad prematura, mientras que el riesgo se duplicó aproximadamente en las mujeres. El 28% de las muertes prematuras podrían atribuirse a niveles educativos más bajos. El 31 % de la asociación con la educación en hombres y el 18 % en mujeres podía explicarse por factores de riesgo modificables, como el tabaquismo. The Lancet Public Health, 1º de noviembre de 2022.

Pandemia covid-19: Efectos en la esperanza de vida y mortalidad prematura en 2020 en 37 países

08 noviembre 2021

En 2020 se perdieron más de 28 millones de años de vida en 31 países, con una tasa más alta en hombres que en mujeres. El exceso de años de vida perdidos asociados con la pandemia de covid-19 en 2020 fue más de cinco veces mayor que los asociados con la epidemia de gripe (influenza) estacional en 2015.  BMJ, 3 de noviembre de 2021

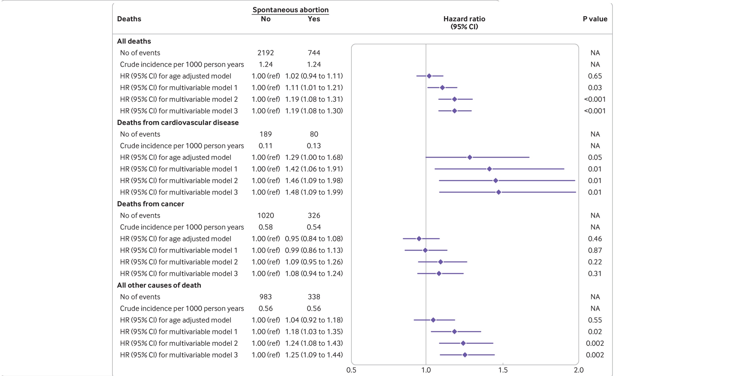
Abortos espontáneos y mortalidad prematura

25 marzo 2021

Si bien los valores absolutos del aumento de riesgo fueron pequeños, la ocurrencia de abortos espontáneos se asoció con una mayor probabilidad de mortalidad prematura, particularmente por enfermedad cardiovascular. British Medical Journal, 24 de marzo de 2021.

Regularidad del ciclo menstrual y muerte prematura

05 octubre 2020

Aunque no están aclarados los mecanismos intervinientes, las mujeres con ciclos menstruales irregulares y prolongados en la adolescencia y en la edad adulta tienen un mayor riesgo de mortalidad antes de los 70 años. No se descarta la existencia de factores de confusión para explicar esta asociación. BMJ, 30 de septiembre de 2020.

Categorias

Etiquetas