Farmacología

Factores asociados con el subregistro de reacciones adversas a los medicamentos por parte de los profesionales de la salud: actualización de una revisión sistemática

14 junio 2023

El subregistro es la principal limitación del sistema de notificación voluntaria de reacciones adversas a medicamentos (RAM).Nuestra revisión sistemática de 2009 mostró que el conocimiento y las actitudes de los profesionales de la salud estaban fuertemente relacionados con el subregistro de RAM.La presente revisión sistemática muestra, en la actualidad, que los conocimientos y las actitudes siguen siendo los principales determinantes del subregistro, a pesar de que son factores fácilmente modificables. Drug Saf, 6 de junio de 2023

Intervenciones individuales para reducir el estrés laboral del personal sanitario

23 mayo 2023

Esta revisión muestra que podría haber un efecto sobre la reducción del estrés en los trabajadores sanitarios a partir de intervenciones a nivel individual sobre el estrés, tanto si centran la atención en la experiencia de estrés como si desvían la atención de esta. Este efecto podría durar hasta un año después de finalizar la intervención. Una combinación de intervenciones también podría tener efectos beneficiosos, al menos a corto plazo. Aún se desconocen los efectos a largo plazo de las intervenciones de control del estrés a nivel individual. Lo mismo se puede decir de las intervenciones sobre los factores de riesgo (a nivel individual) relacionados con el trabajo. Cochrane Database Syst Rev 12 de mayo de 2023

El farmacólogo clínico desde los ojos del farmacólogo clínico: encuesta basada en cuestionarios

02 noviembre 2022

Todos los farmacólogos clínicos (FC) opinaron que la formación durante el curso de posgrado no fue suficiente para ser calificado como FC. No hubo consenso entre los FC sobre el beneficio de los cursos de certificación existentes en investigación clínica. Sin embargo, consideraron que los centros que ofrecen estos cursos deben estar acreditados y el plan de estudios debe ser uniforme. Los encuestados opinaron que la función de gestión de pacientes de los FC podría mejorarse colaborando con los médicos y organizando talleres y conferencias. Eur J Clin Pharmacol, 28 de octubre de 2022

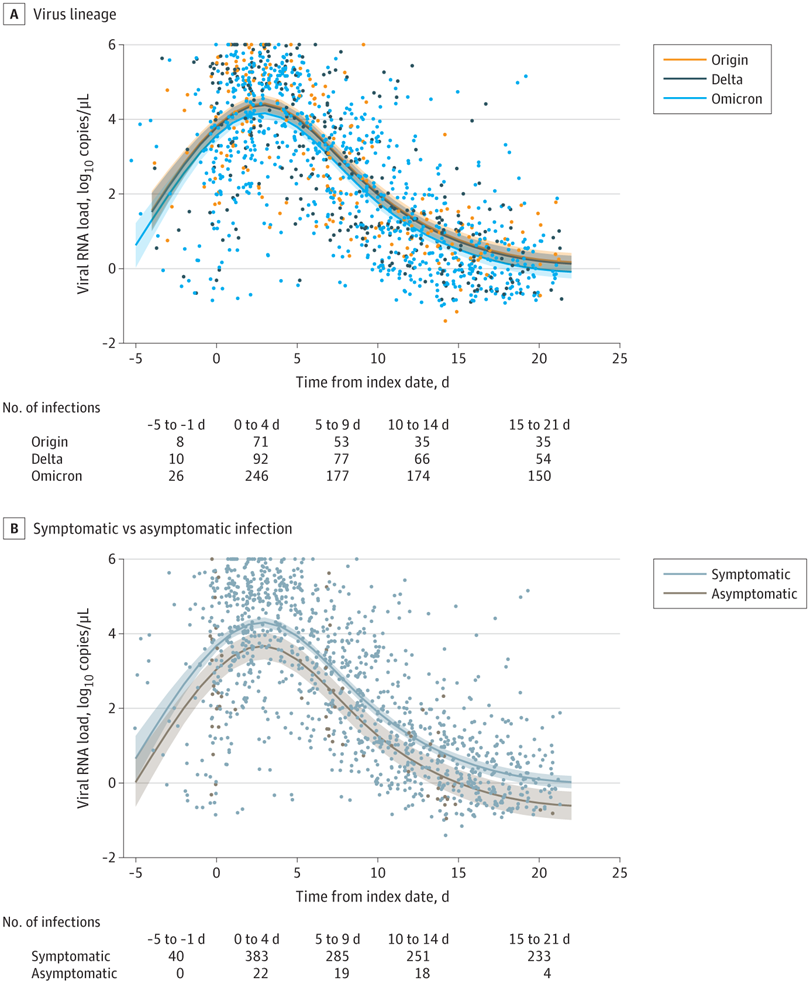
Asociación de vacunación de ARNm con características clínicas y virológicas de COVID-19 entre trabajadores esenciales y de primera línea de EE. UU.

24 octubre 2022

En una cohorte de trabajadores esenciales y de primera línea de EE. UU. con infecciones por SARS-CoV-2, la vacunación reciente con 2 o 3 dosis de vacuna de ARNm menos de 150 días antes de la infección con variantes Delta u Omicron, en comparación con no vacunarse, se asoció con atenuación síntomas, duración de la enfermedad, búsqueda de atención médica o carga viral para algunas comparaciones, aunque la precisión y la significación estadística de las estimaciones específicas variaron. JAMA. 18 de octubre de 2022

Expectativas de los profesionales sanitarios sobre el beneficio obtenido por intervenciones habituales en atención primaria

22 junio 2022

La mayoría de los profesionales encuestados sobreestiman tanto las actividades de prevención como los tratamientos preventivos, lo que les puede llevar a transmitir expectativas exageradas o falsas a los pacientes, exponerlos innecesariamente a efectos adversos derivados de esas intervenciones y a dilapidar recursos. Aten Primaria, abril de 2022

Categorias

Etiquetas