Farmacología

Criterios de desenlace clínicos para evaluar la eficacia en los ensayos de la vacuna COVID-19

26 octubre 2020

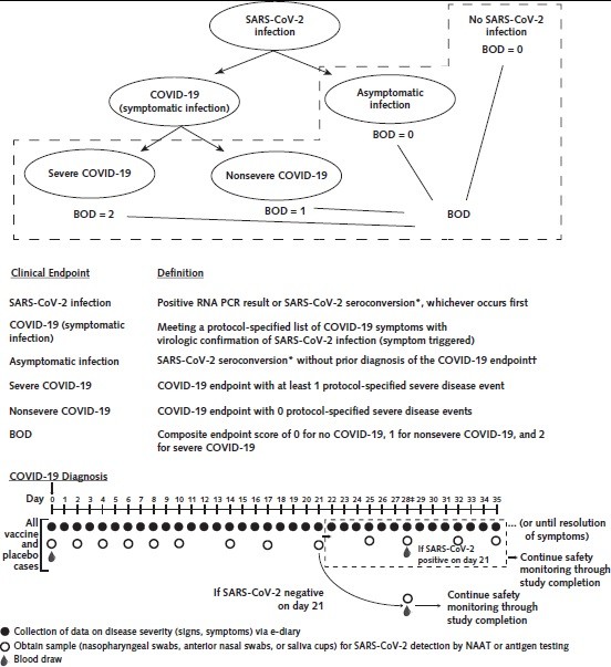
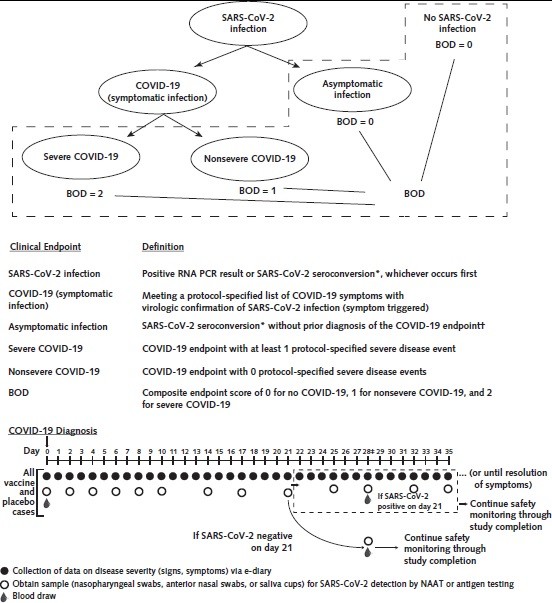
Para facilitar la evaluación armonizada y la comparación de la eficacia de estas vacunas, se propone un conjunto general de criterios de valoración clínicos, junto con consideraciones para orientar la selección de los criterios de valoración primarios sobre la base del razonamiento clínico y estadístico. S Ann Intern Med, 22 de octubre de 2020

Diseño de los ensayos clínicos: algunos “desenlaces duros” podrían no serlo tanto

25 septiembre 2018

La expansión en la definición de variables como infarto de miocardio, ACV, recurrencia de cáncer o aparición de metástasis puede resultar en que estos desenlaces no se relacionen con la duración o la calidad de la vida. British Medical Journal, 19 de septiembre de 2018

Categorias

Etiquetas