Farmacología

Uso de benzodiacepinas durante el embarazo y riesgo de aborto espontáneo

03 enero 2024

Este estudio de casos y controles a nivel nacional reveló un mayor riesgo de aborto espontáneo asociado con el uso de benzodiacepinas durante el embarazo después de tener en cuenta factores de confusión mensurables, y era poco probable que los resultados se debieran a factores de confusión no medidos. Estos hallazgos subrayan la necesidad de que los profesionales de la salud equilibren meticulosamente la relación riesgo-beneficio al considerar el uso de benzodiacepinas para tratar los trastornos psiquiátricos y del sueño durante el embarazo. JAMA Psychiatry.  27 de diciembre de 2023

Exposición materna a fármacos antiinflamatorios no esteroides durante el embarazo y riesgo de aborto espontáneo: revisión sistemática y metanálisis

26 octubre 2021

Nuestros hallazgos indican que la exposición a los medicamentos antiinflamatorios no esteroideos (AINE) en el momento de la concepción podría ser un factor de riesgo de aborto espontáneo. Se necesitan más estudios para evaluar si el riesgo varía según el tipo, la dosis o el momento de la exposición a los AINE. Eur J Clin Pharmacol, 11 de octubre de 2021

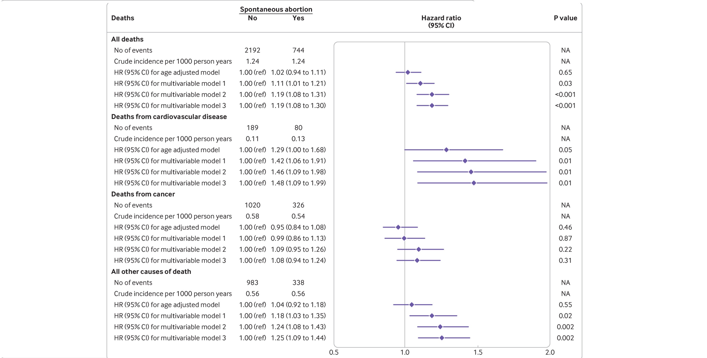
Abortos espontáneos y mortalidad prematura

25 marzo 2021

Si bien los valores absolutos del aumento de riesgo fueron pequeños, la ocurrencia de abortos espontáneos se asoció con una mayor probabilidad de mortalidad prematura, particularmente por enfermedad cardiovascular. British Medical Journal, 24 de marzo de 2021.

Mifepristona y misoprostol versus misoprostol solo para el tratamiento del aborto espontáneo retenido (MifeMiso): un ensayo aleatorizado, doble ciego y controlado con placebo

26 agosto 2020

El tratamiento con mifepristona más misoprostol fue más eficaz que el misoprostol solo en el tratamiento del aborto espontáneoretenido. A las mujeres que no han tenido un aborto espontáneo se les debe ofrecer un tratamiento previo con mifepristona antes del misoprostol para aumentar las posibilidades de un manejo exitoso del aborto espontáneo, mientras se reduce la necesidad de una cirugía de aborto espontáneo. Lancet, 24 de agosto de 2020

Embarazo luego del tratamiento con yodo radioactivo para cáncer de tiroides

28 octubre 2019

Los resultados del embarazo en mujeres que recibieron previamente yodo radioactivo por una neoplasia tiroidea fueron similares a los de aquellas tratadas solo con cirugía cuando la concepción ocurrió al menos 6 meses después del tratamiento radiante.  JAMA Internal Medicine, 21 de octubre de 2019

Categorias

Etiquetas