Farmacología

Hallazgos provisionales de la implementación de la vacunación masiva de COVID-19 de primera dosis y las admisiones hospitalarias de COVID-19 en Escocia: estudio de cohorte prospectivo nacional

26 abril 2021

La implementacion masiva de las primeras dosis de las vacunas de ARNm BNT162b2 y ChAdOx1 se asoció con reducciones sustanciales en el riesgo de ingreso hospitalario por COVID-19 a los 28 a 34 días  [BNT162b2: 91% (IC95: 85–94) ChAdOx1 : 88% (IC95:75–94)] en Escocia. Existe la posibilidad de que algunos de los efectos observados se hayan debido a un factor de confusión residual. Lancet, 23 de abril de 2021

Vacuna Pfizer/BioNTech paraCovid-19 en un entorno de vacunación masiva a nivel nacional

25 febrero 2021

Este estudio en un entorno de vacunación masiva nacional sugiere que la vacuna de ARNm BNT162b2 (tozinameran) es eficaz para una amplia gama de resultados relacionados con Covid-19, un hallazgo consistente con el del ensayo aleatorizado.  N Engl J Med, 24 de febrero de 2021

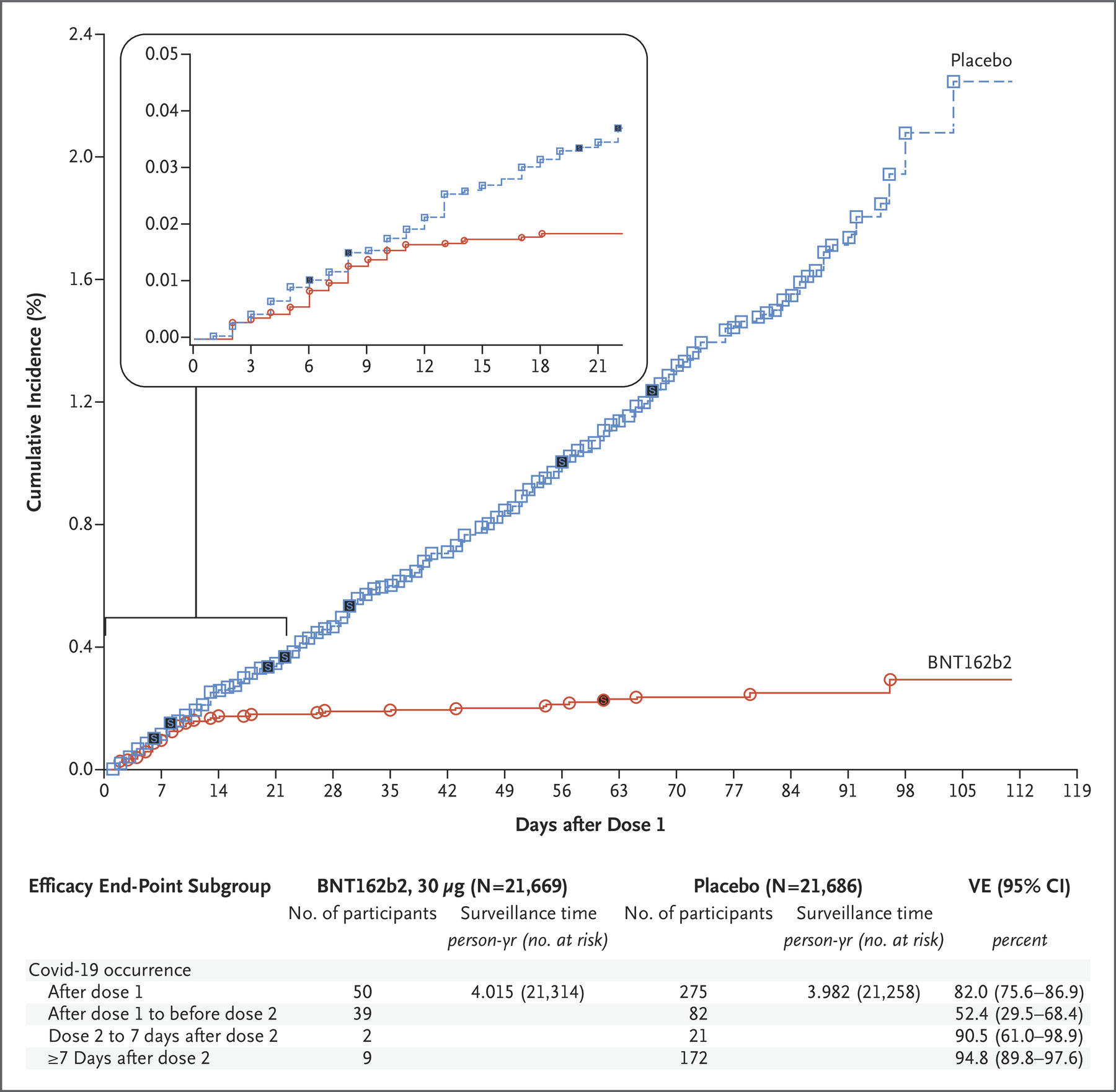
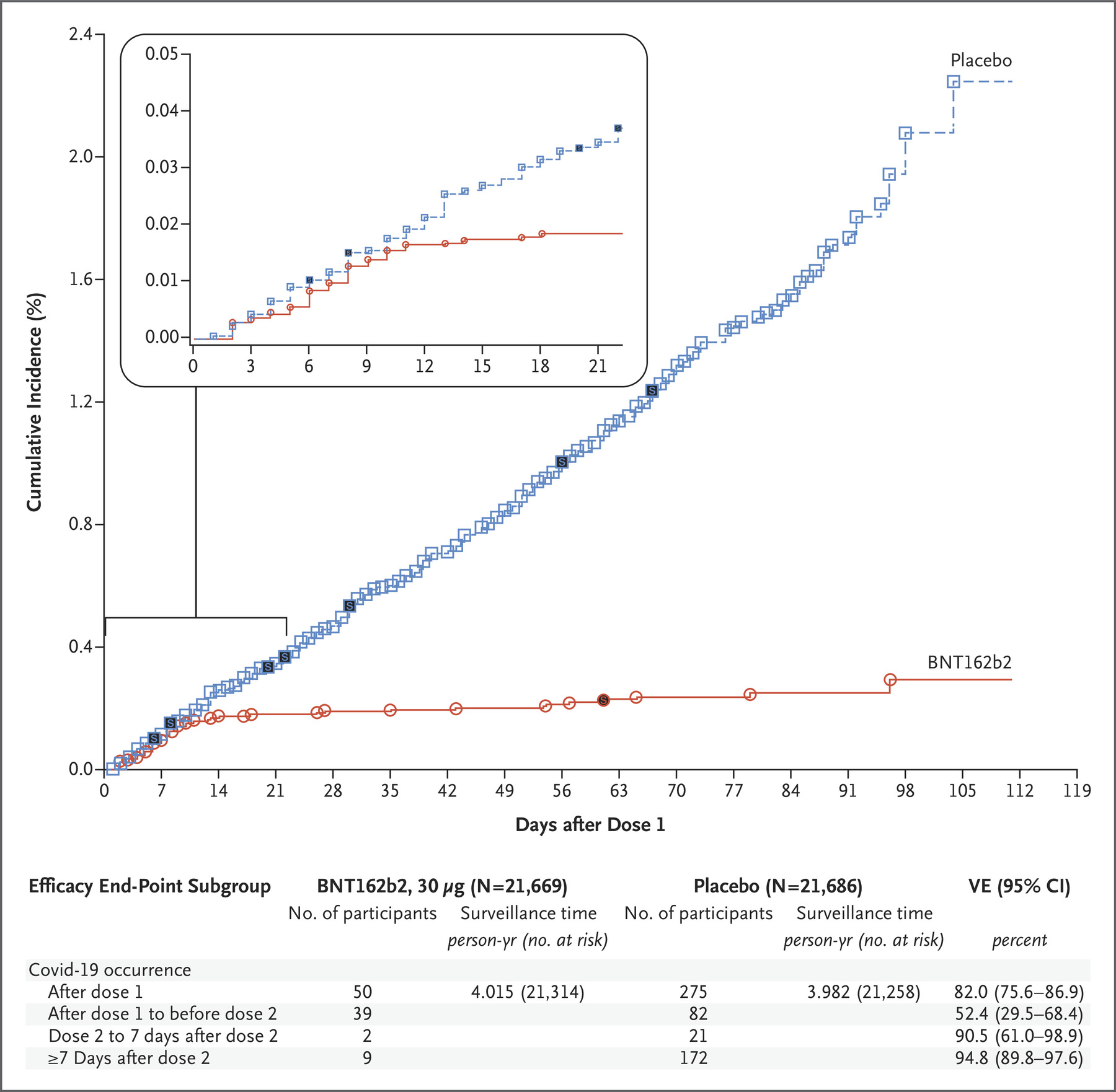
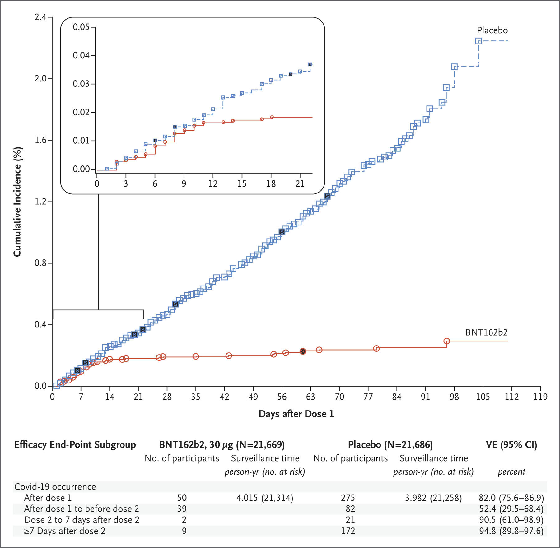
Seguridad y eficacia de la vacuna de ARNm BNT162b2 Covid-19 ( Pfizer/BioNTech)

10 diciembre 2020

Un régimen de dos dosis de BNT162b2 confirió una protección del 95% contra Covid-19 en personas de 16 años o más. La seguridad durante una mediana de 2 meses fue similar a la de otras vacunas virales. N Eng J Med, 10 de diciembre de 2020

Categorias

Etiquetas