Farmacología

Urticaria crónica como efecto adverso de vacunas en desarrollo contra VIH en base mRNA

30 abril 2025

Se observó una alta frecuencia de urticaria crónica como efecto adverso de vacunas en investigación contra el VIH, diseñadas en una plataforma de ARN mensajero. Esta dato alerta sobre posibles mecanismos subyacentes y la eventualidad de repetirse en vacunas similares. Annals of Internal Medicine, 29 de abril de 2025.

En los pacientes con diagnóstico de  Covid-19 la vacunación previa para SARS-CoV-2  reduce el riesgo de síntomas prolongados

15 enero 2024

La vacunación contra COVID-19 redujo sistemáticamente el riesgo de síntomas prolongados en caso de contraer posteriormente la enfermedad. Esto resalta la importancia de la vacunación para prevenir los síntomas persistentes de  COVID-19, especialmente en los adultos. The Lancet Respiratory Medicine, 11 de enero de 2024.

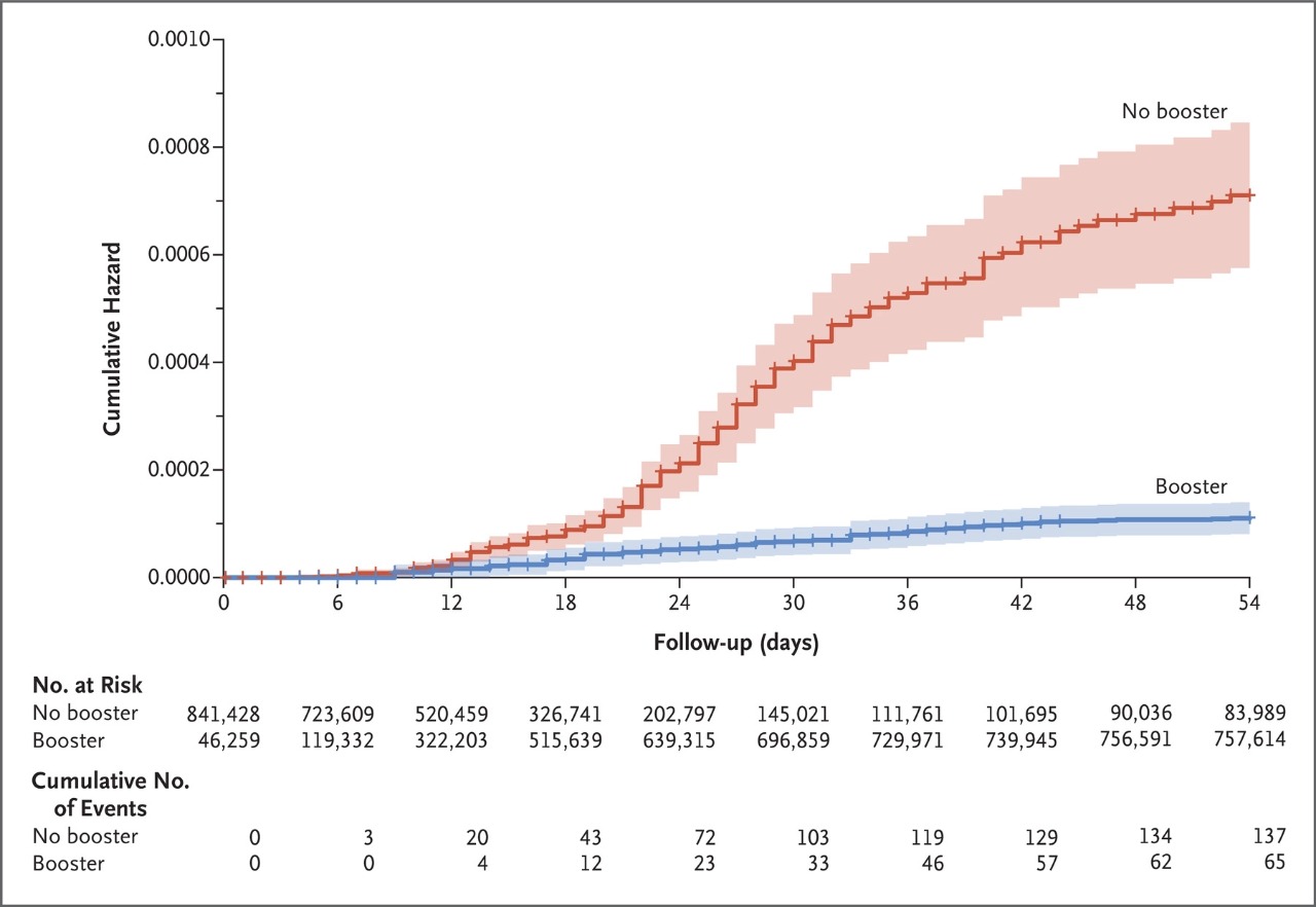
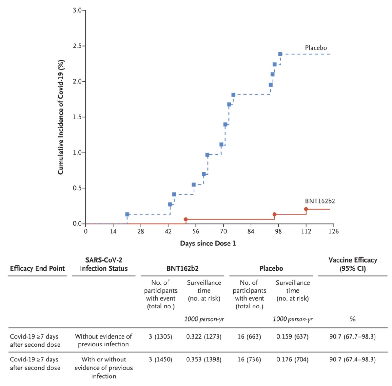
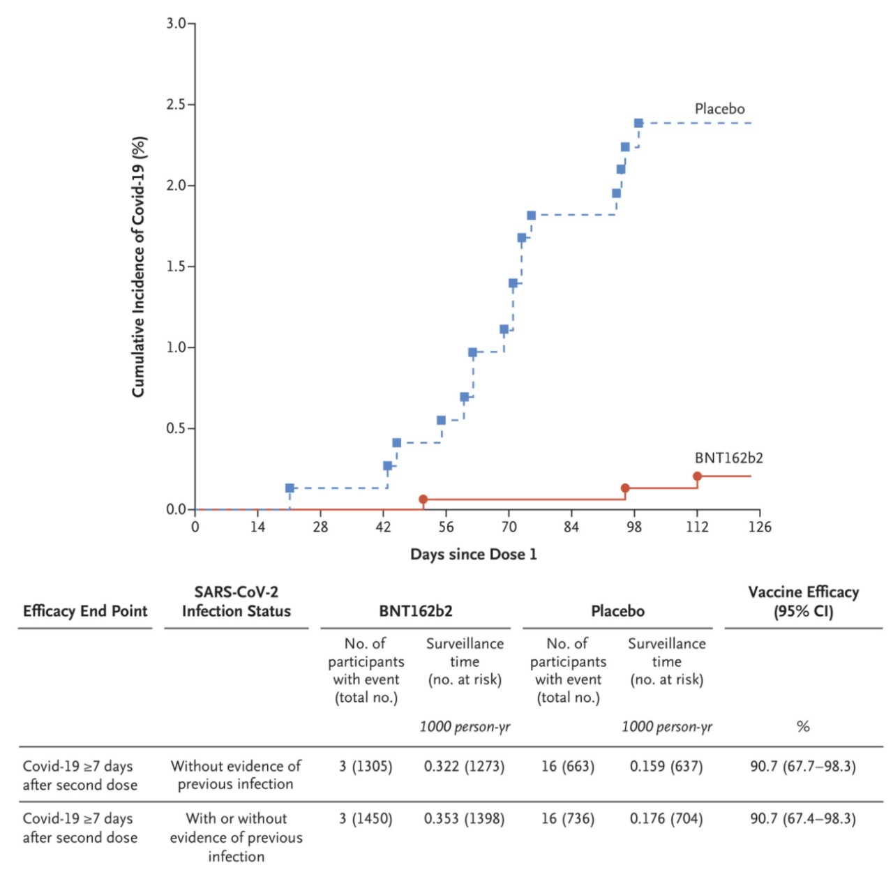
Refuerzo de la vacuna BNT162b2 (Pfizer-BioNTech ) y mortalidad debida a Covid-19

10 diciembre 2021

Los participantes que recibieron un refuerzo al menos 5 meses después de una segunda dosis de BNT162b2 (Pfizer-BioNTech) tuvieron un 90% menos de mortalidad debido a Covid-19 que los participantes que no recibieron un refuerzo.  N Engl J Med. 8 de diciembre de 2021

Eficacia a nivel nacional de cinco vacunas contra el SARS-CoV-2 en Hungría: el estudio HUN-VE

29 noviembre 2021

Nuestro estudio observacional demostró la eficacia alta o muy alta de cinco vacunas diferentes [BNT162b2 (Pfizer-BioNTech), HB02 (Sinopharm), Gam-COVID-Vac (Sputnik-V), AZD1222 (AstraZeneca) o ARNm-1273 ( Moderna)] en la prevención de la infección por SARS-CoV-2 y la muerte relacionada con Covid-19. Clin Microbiol Infect. 24 de noviembre de 2021

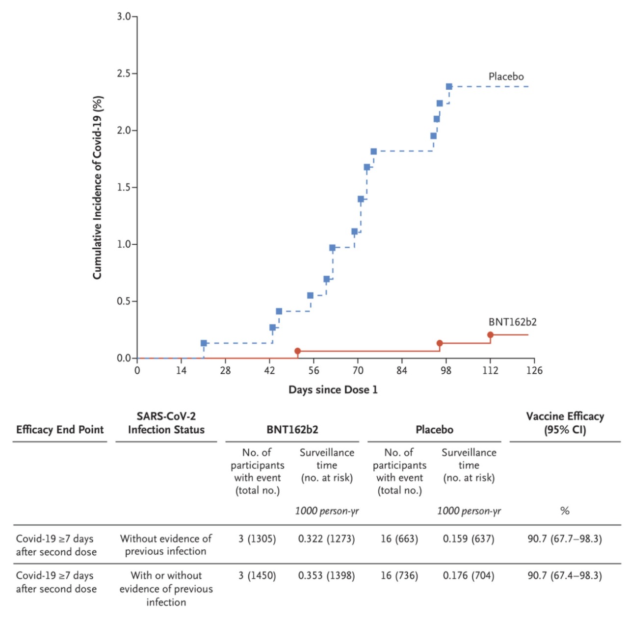
Evaluación de la vacuna Pfizer - BioNTech  (BNT162b2 Covid-19) en niños de 5 a 11 años

10 noviembre 2021

Este estudio encontró que un régimen de vacunación con Covid-19 que consiste en dos dosis de 10 μg de BNT162b2 administradas con 21 días de diferencia es seguro, inmunogénico y eficaz en niños de 5 a 11 años de edad. N Eng J Med, 9 de noviembre de 2021

Categorias

Etiquetas