Farmacología

Argentina : Consenso para recomendar reducir a 4 meses el tiempo para la aplicación de la dosis de refuerzo a personal de salud y mayores de 60 años

27 diciembre 2021

Con el objeto de ofrecer la máxima protección a quienes presentan mayor riesgo de exposición y enfermedad grave, se consensúa con las 24 jurisdicciones la recomendación de incluir dentro de la estrategia de refuerzo personal de salud y personas de 60 años y más que hayan cumplido un intervalo mínimo de 4 meses de haber completado su esquema inicial.Ministerio de Salud de la Nación, 26 de diciembre de 2021

Controversias actuales alrededor de las vacunas contra SARS-CoV-2:  efectividad, dosis diferidas, esquemas heterólogos y tercera dosis

04 octubre 2021

Esta FoliaDOC pretende recorrer el estado actual de estas controversias.  Aunque la velocidad de las novedades puede volver obsoletos los datos presentados en un plazo breve, se espera que las herramientas de análisis que se presentan permitan a los lectores evaluar mejor los resultados de la investigación futura. Folia DOC Año XXIV Nº 2 - 2021, 26 de septiembre de 2021

La vacuna Sputnik V provoca seroconversión y capacidad neutralizante al SARS CoV-2 después de una dosis única

14 julio 2021

La alta tasa de seroconversión después de una sola dosis en participantes sin experiencia sugiere un beneficio de retrasar la administración de la segunda dosis para aumentar el número de personas vacunadas. Los datos presentados proporcionan información para orientar las decisiones de salud pública a la luz de la actual emergencia sanitaria mundial. Cell Reports Medicine, ‎9 de julio de 2021‎

Cobertura de la vacuna COVID-19 en trabajadores de la salud en Inglaterra y efectividad de la vacuna de ARNm BNT162b2 contra la infección (SIREN): un estudio de cohorte prospectivo, multicéntrico

26 abril 2021

la vacuna BNT162b2 puede prevenir la infección sintomática y asintomática en adultos en edad laboral. Esta cohorte fue vacunada cuando la variante dominante en circulación era B1.1.7 y muestra efectividad contra esta variante. Lancet, 23 de abril de 2021

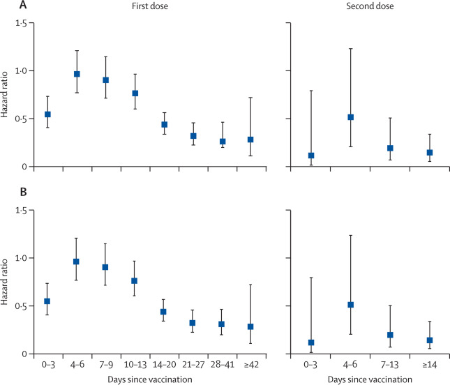
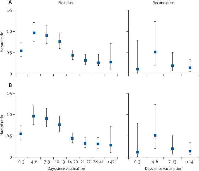
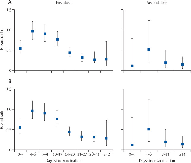
Hallazgos provisionales de la implementación de la vacunación masiva de COVID-19 de primera dosis y las admisiones hospitalarias de COVID-19 en Escocia: estudio de cohorte prospectivo nacional

26 abril 2021

La implementacion masiva de las primeras dosis de las vacunas de ARNm BNT162b2 y ChAdOx1 se asoció con reducciones sustanciales en el riesgo de ingreso hospitalario por COVID-19 a los 28 a 34 días  [BNT162b2: 91% (IC95: 85–94) ChAdOx1 : 88% (IC95:75–94)] en Escocia. Existe la posibilidad de que algunos de los efectos observados se hayan debido a un factor de confusión residual. Lancet, 23 de abril de 2021

Categorias

Etiquetas