Farmacología

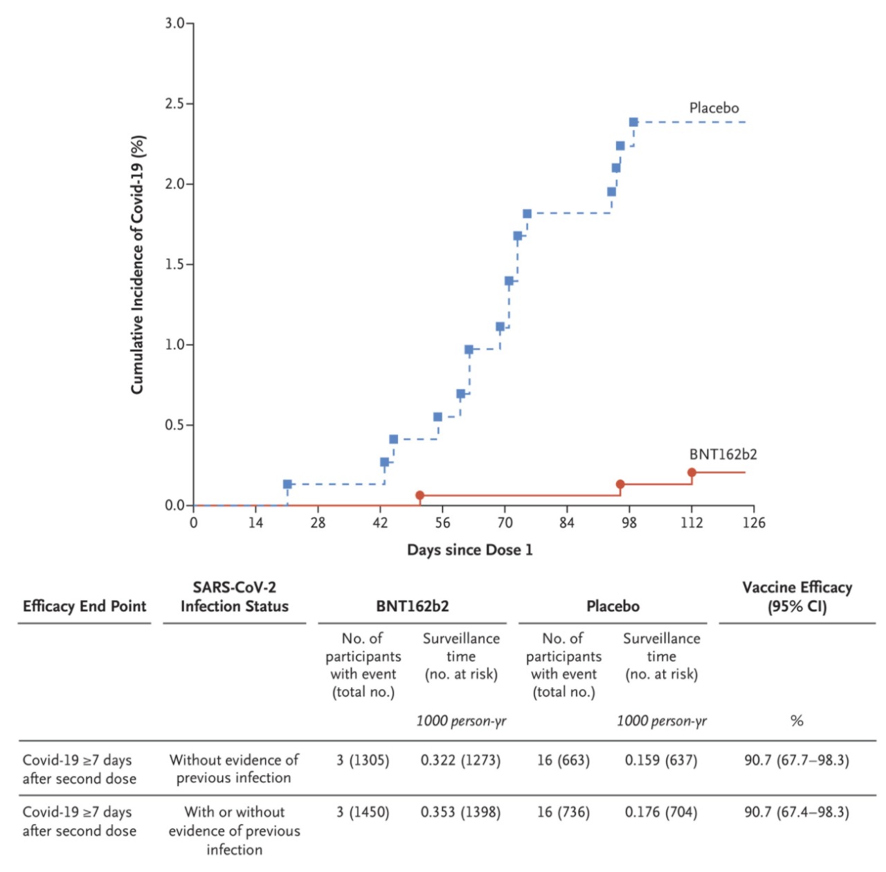
Evaluación de la vacuna Pfizer - BioNTech  (BNT162b2 Covid-19) en niños de 5 a 11 años

10 noviembre 2021

Este estudio encontró que un régimen de vacunación con Covid-19 que consiste en dos dosis de 10 μg de BNT162b2 administradas con 21 días de diferencia es seguro, inmunogénico y eficaz en niños de 5 a 11 años de edad. N Eng J Med, 9 de noviembre de 2021

Efectividad de la vacuna ARNm BNT162b2 COVID-19 hasta 6 meses en un gran sistema de salud integrado en los EE. UU .: un estudio de cohorte retrospectivo

05 octubre 2021

Nuestros resultados apoyan la alta efectividad de BNT162b2 contra los ingresos hospitalarios hasta aproximadamente 6 meses después de haber sido completamente vacunado, incluso frente a la diseminación generalizada de la variante delta. La reducción de la eficacia de la vacuna contra las infecciones por SARS-CoV-2 a lo largo del tiempo probablemente se deba principalmente a la disminución de la inmunidad con el tiempo más que a la variante delta que escapa a la protección de la vacuna. Lancet, 4 de octubre de 2021

Vacunación de ARNm de dosis baja

01 octubre 2021

Una dosis baja de la vacuna mRNA-1273 contra COVID-19 provoca una respuesta inmune comparable a la de la infección natural en adultos. Science, 30 de septiembre 2021

Ingresos hospitalarios COVID-19 y muertes tras las vacunas Pfizer-BioNTech u Oxford-AstraZeneca en Escocia

01 octubre 2021

Las hospitalizaciones y muertes por COVID-19 fueron poco frecuentes 14 días o más después de la primera dosis de vacuna en este análisis nacional en el contexto de alta incidencia de infección por SARS-CoV-2 y con extensas medidas de distanciamiento social implementadas. Las características sociodemográficas y clínicas que se sabe que aumentan el riesgo de enfermedad grave en poblaciones no vacunadas también se asociaron con resultados graves en las personas que recibieron su primera dosis de vacuna y podrían ayudar a informar la gestión de casos y la formulación de políticas de vacunas en el futuro. Lancet Respir Med., 29 de septiembre de 2021

Efectividad de la vacuna mRNA Covid-19 entre el personal sanitario de EE. UU.

23 septiembre 2021

Las vacunas BNT162b2 y mRNA-1273 fueron altamente efectivas en las condiciones del mundo real para prevenir el Covid-19 sintomático en el personal de atención médica, incluidos aquellos en riesgo de Covid-19 grave y aquellos en grupos raciales y étnicos que se han visto afectados de manera desproporcionada por la pandemia. . (Financiado por los Centros para el Control y la Prevención de Enfermedades-CDC-). N Eng J Med, 22 de septiembre de 2021

Categorias

Etiquetas