Farmacología

Refuerzo de la vacuna BNT162b2 (Pfizer-BioNTech ) y mortalidad debida a Covid-19

10 diciembre 2021

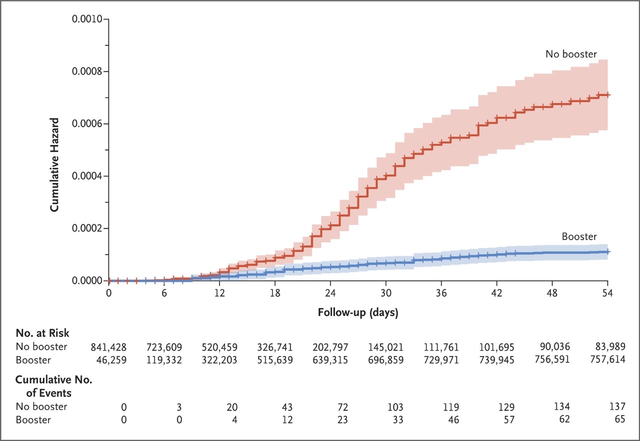
Los participantes que recibieron un refuerzo al menos 5 meses después de una segunda dosis de BNT162b2 (Pfizer-BioNTech) tuvieron un 90% menos de mortalidad debido a Covid-19 que los participantes que no recibieron un refuerzo.  N Engl J Med. 8 de diciembre de 2021

Administración de dosis adicional al esquema primario de vacunación contra COVID-19: Memorandúm y Guía

27 octubre 2021

El Ministerio de Salud de la Nación comunica: La recomendación sobre aplicación de una dosis adicional en dos grupos de población definidos: - Personas con inmunocompromiso que hayan recibido un esquema primario con cualquier vacuna contra la COVID-19.- Personas de 50 años o mayores que hayan recibido un esquema primario de vacuna a virus inactivado.  Ministerio de Salud de la Nación, 26 y 27 de octubre de 2021.

Recomendaciones de la EMA sobre terceras dosis y dosis de refuerzo de las vacunas frente a la COVID-19 Comirnaty (BioNTech/Pfizer) y Spikevax (Moderna)

05 octubre 2021

La agencia europea indica que podrían administrarse terceras dosis de las vacunas Comirnaty (BioNTech/Pfizer) y Spikevax (Moderna) a personas  trasplantadas e inmunocomprometidas. También se podría considerar una dosis de refuerzo de Comirnaty a personas de más de 18 años que hayan recibido una segunda dosis hace, al menos, seis meses. Se consideran terceras dosis las que se administran a personas trasplantadas o inmunocomprometidas y dosis de refuerzo las que se administran a personas con un sistema inmune normal. AEMPS, 4 de octubre de 2021

Controversias actuales alrededor de las vacunas contra SARS-CoV-2:  efectividad, dosis diferidas, esquemas heterólogos y tercera dosis

04 octubre 2021

Esta FoliaDOC pretende recorrer el estado actual de estas controversias.  Aunque la velocidad de las novedades puede volver obsoletos los datos presentados en un plazo breve, se espera que las herramientas de análisis que se presentan permitan a los lectores evaluar mejor los resultados de la investigación futura. Folia DOC Año XXIV Nº 2 - 2021, 26 de septiembre de 2021

Vacunación contra el Covid-19: se exagera la evidencia de la disminución de la inmunidad

24 septiembre 2021

Centrarse en la disminución de la inmunidad en los países de altos ingresos desvía la atención y los suministros limitados de vacunas de la necesidad urgente de vacunación primaria de las personas sin inmunidad, particularmente en los países de ingresos bajos y medios. Esto empeorará las inaceptables desigualdades en materia de vacunas, prolongará la pandemia y sus devastadores impactos socioeconómicos y de salud pública, y aumentará el riesgo de nuevas variantes. La rápida ampliación de la cobertura de vacunación a nivel mundial sigue siendo la prioridad de salud pública más urgente. BMJ 23 de septiembre de 2021

Categorias

Etiquetas