Farmacología

Intervenciones no farmacéuticas, vacunación y la variante delta del SARS-CoV-2 en Inglaterra: un estudio de modelado matemático

28 octubre 2021

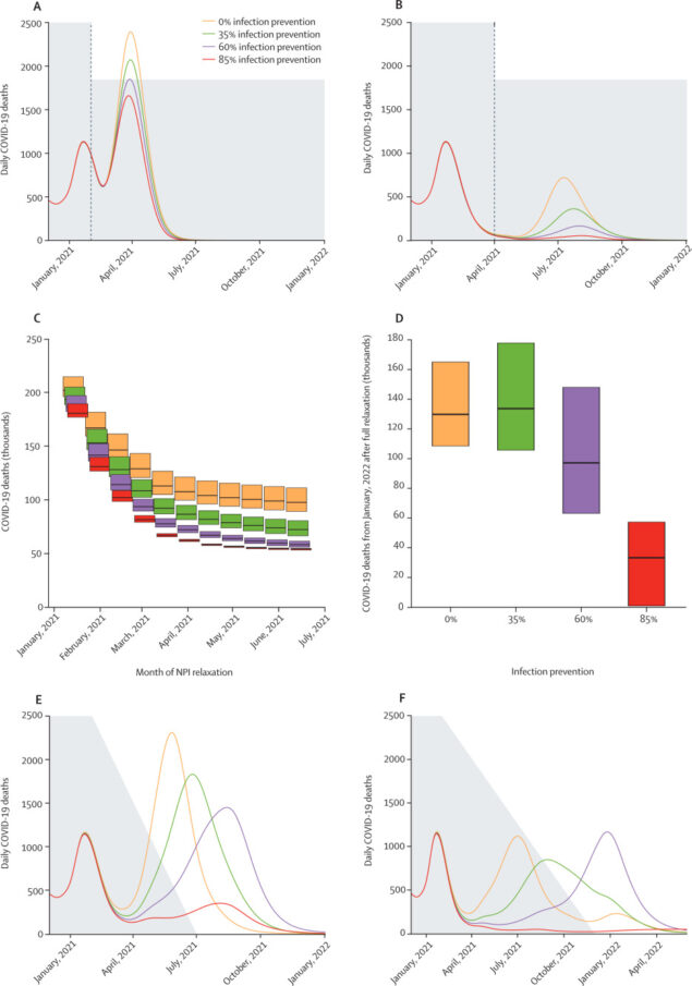
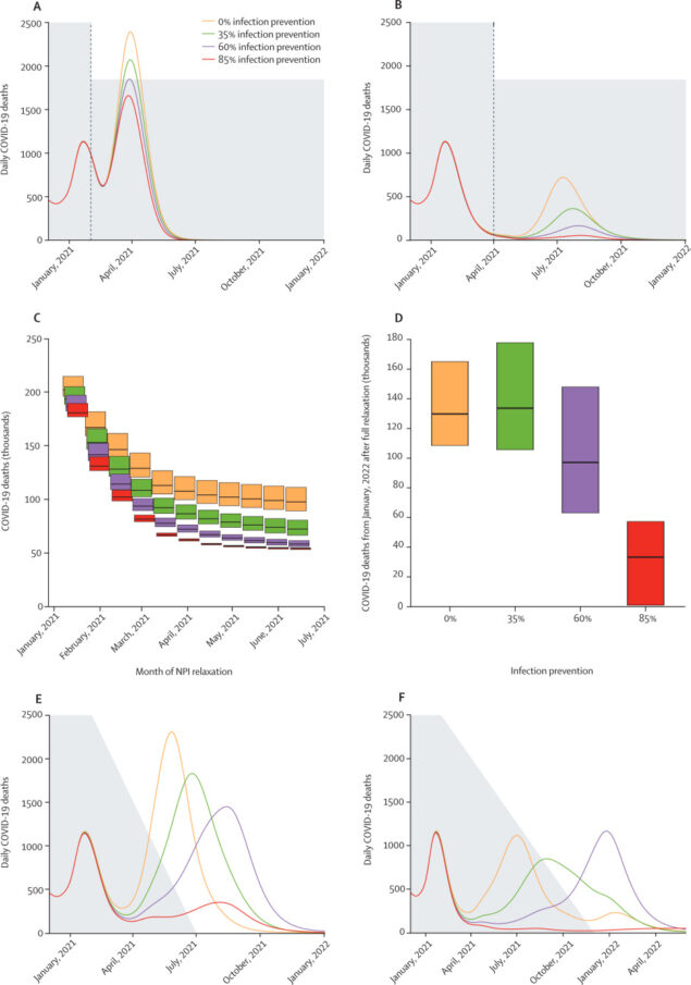
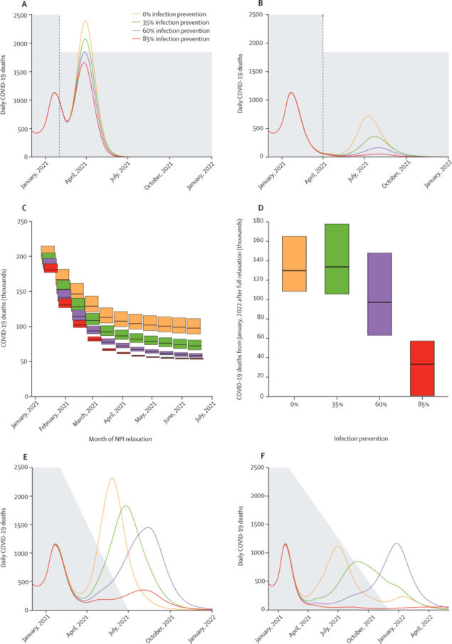
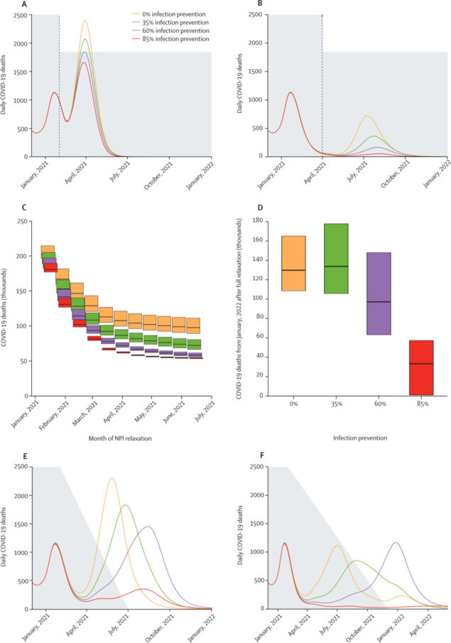
Nuestros hallazgos muestran que el riesgo de una gran ola de ingresos hospitalarios por COVID-19 como resultado de levantar las INF se puede mitigar sustancialmente si el momento de relajación de las INF se equilibra cuidadosamente con la cobertura de vacunación. Sin embargo, con la variante delta, es posible que no sea posible levantar completamente las INF sin una tercera ola de ingresos hospitalarios y muertes, incluso si la cobertura de vacunación es alta. Las variantes de interés, su transmisibilidad, la absorción de la vacuna y la efectividad de la vacuna deben monitorearse cuidadosamente a medida que los países relajan las medidas de control de la pandemia. Lancet, 27 de octubre de 2021

Comparación de la efectividad estimada de las intervenciones basadas en casos y en la población sobre la contención de COVID-19 en Taiwán

08 abril 2021

En este estudio de investigación de efectividad comparativa, la combinación de intervenciones basadas en casos y poblaciones (con una amplia adherencia) puede explicar el éxito del control de COVID-19 en Taiwán en 2020. Cualquiera de las dos categorías de intervenciones por sí solas habría sido insuficiente, incluso en un país con un sistema de salud pública eficaz y un programa integral de localización de contactos. Mitigar la pandemia de COVID-19 requiere el esfuerzo colaborativo de los profesionales de la salud pública y el público en general. JAMA Intern Med, 6 de abril de 2021.

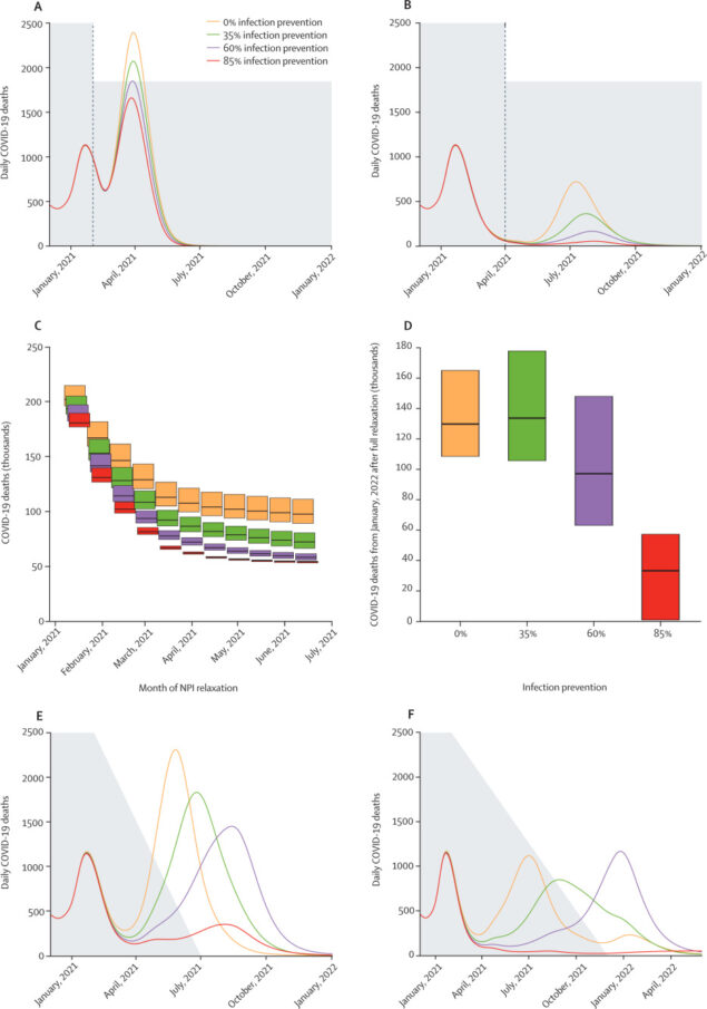
Vacunación e intervenciones no farmacéuticas para COVID-19: estudio de modelado

25 marzo 2021

Para todos los escenarios de vacunación investigados, estas predicciones destacan los riesgos asociados con la relajación temprana o rápida de las intervenciones no farmacéuticas. Aunque las vacunas novedosas contra el SARS-CoV-2 ofrecen una posible estrategia de salida para la pandemia, el éxito depende en gran medida de las propiedades precisas de la vacuna y de la aceptación de la población, las cuales deben ser monitoreadas cuidadosamente. Lancet Infect Dis. 18 de marzo de 2021

Cambio en la adherencia informada a las intervenciones no farmacológicas durante la pandemia de COVID-19

26 enero 2021

Este estudio encuentra una reducción en el cumplimiento informado de las intervenciones no farmacológicas (INF) en general (fatiga pandémica) en general y de la mayoría de las INF en particular durante la pandemia, independientemente de la geografía, entre abril y noviembre en EE.UU. a excepción del uso de mascarilla, que puede reflejar una mejora en los mensajes de salud pública. JAMA, 22 de enero de 2021

CDC: Resumen de la guía para las estrategias de salud pública para abordar los altos niveles de transmisión comunitaria del SARS-CoV-2 y muertes relacionadas, diciembre de 2020

11 diciembre 2020

En combinación, las estrategias propuestas pueden reducir la transmisión del SARS-CoV-2, las secuelas o la discapacidad a largo plazo y la muerte, y mitigar el impacto económico de la pandemia. La implementación constante de estas estrategias mejora la equidad en la salud, preserva la capacidad de atención médica, mantiene la función de negocios esenciales y respalda la disponibilidad de instrucción en persona para las escuelas de jardín de infantes a grado 12 y preescolar. Las personas, los hogares y las comunidades deben tomar estas medidas ahora para reducir la transmisión del SARS-CoV-2 de su nivel alto actual. Estas acciones proporcionarán un puente hacia un futuro con amplia disponibilidad y alta cobertura comunitaria de vacunas efectivas, cuando sea posible el regreso seguro a las actividades más cotidianas en una variedad de entornos. MMWR Morb Mortal Wkly Rep , 11 de diciembre de 2020 (4/12 online)

Categorias

Etiquetas