Farmacología

Efectividad de la vacuna mRNA Covid-19 entre el personal sanitario de EE. UU.

23 septiembre 2021

Las vacunas BNT162b2 y mRNA-1273 fueron altamente efectivas en las condiciones del mundo real para prevenir el Covid-19 sintomático en el personal de atención médica, incluidos aquellos en riesgo de Covid-19 grave y aquellos en grupos raciales y étnicos que se han visto afectados de manera desproporcionada por la pandemia. . (Financiado por los Centros para el Control y la Prevención de Enfermedades-CDC-). N Eng J Med, 22 de septiembre de 2021

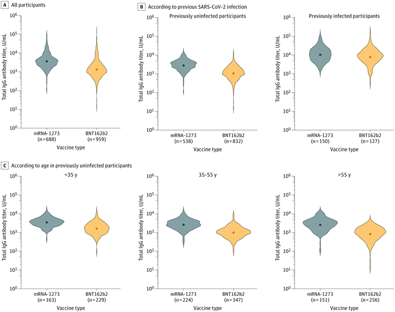
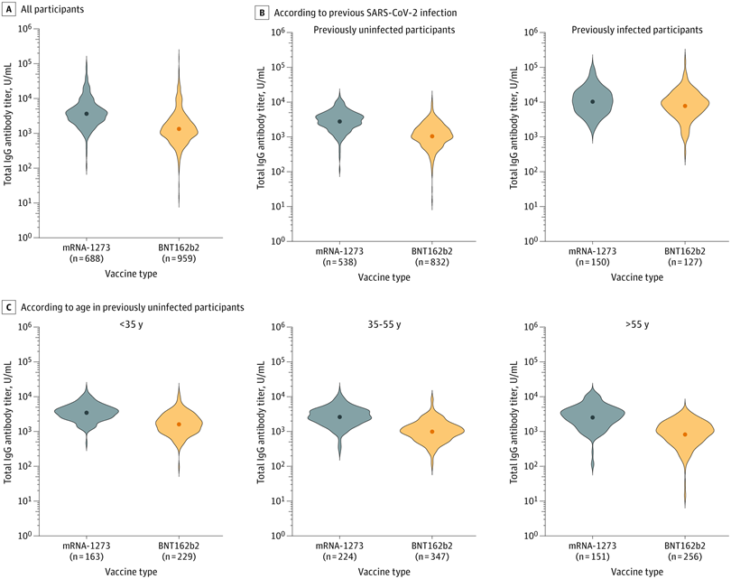
Comparación de la respuesta de anticuerpos del SARS-CoV-2 tras la vacunación con Pfizer-BioNTech y Moderna

01 septiembre 2021

Este estudio encontró una inmunogenicidad humoral significativamente mayor de la vacuna SARS-CoV-2 mRNA-1273 (Moderna) en comparación con la vacuna BNT162b2 (Pfizer-BioNTech), tanto en participantes infectados como no infectados, y en todas las categorías de edad. El mayor contenido de ARNm en ARNm-1273 en comparación con BNT162b2 y el intervalo más largo entre el cebado y el refuerzo para ARNm-1273(3) (4 semanas frente a 3 semanas para BNT162b2) podrían explicar esta diferencia.  JAMA, 30 de Agosto de 2021

Comparación de reacciones adversas a medicamentos entre cuatro vacunas COVID-19 en Europa utilizando la base de datos EudraVigilance: trombosis en sitios inusuales

11 agosto 2021

Este informe sobre los datos de EudraVigilance refuerza los hallazgos anecdóticos sobre la trombosis de la vena cerebral (TVC) después de las vacunas COVID-19. Aunque EMA lanzó alerta solo para  CHADOX1 NCOV-19 (AstraZeneca) y AD26.COV2. S (Janssen) , también Tozinameran (Pfizer-Biontech), CX-024414 (Moderna), tienen complicaciones por TVC, aunque en menor medida.  J Thromb Haemost. 2021

Vacuna COVID-19 Spikevax (Moderna) aprobada para niños de 12 a 17 años en la UE.

23 julio 2021

El comité de medicamentos humanos (CHMP) de la EMA ha recomendado otorgar una extensión de la indicación para la vacuna COVID-19 Spikevax (anteriormente COVID-19 Vaccine Moderna) para incluir el uso en niños de 12 a 17 años. La vacuna ya está autorizada para su uso en personas mayores de 18 años. EMA 23 de julio de 2021

Prevención y atenuación de Covid-19 con las vacunas BNT162b2 y mRNA-1273

01 julio 2021

Las vacunas de ARNm autorizadas fueron altamente efectivas entre los adultos en edad laboral para prevenir la infección por SARS-CoV-2 cuando se administraron en condiciones del mundo real, y las vacunas atenuaron la carga de ARN viral, el riesgo de síntomas febriles y la duración de la enfermedad entre los que presentaban el avance. Infección a pesar de la vacunación. N Engl J Med, 30 de junio de 2021

Categorias

Etiquetas