Farmacología

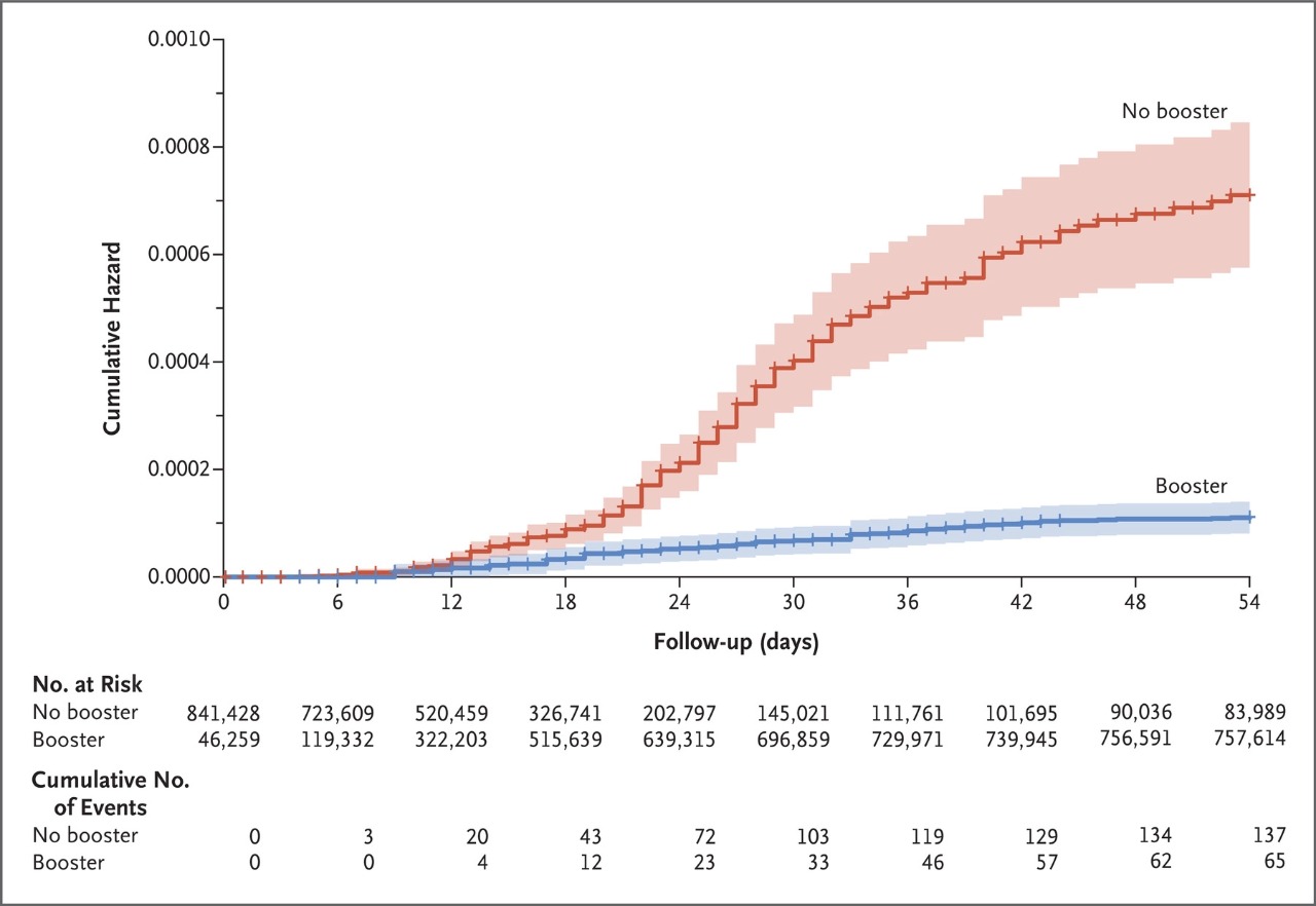
Refuerzo de la vacuna BNT162b2 (Pfizer-BioNTech ) y mortalidad debida a Covid-19

10 diciembre 2021

Los participantes que recibieron un refuerzo al menos 5 meses después de una segunda dosis de BNT162b2 (Pfizer-BioNTech) tuvieron un 90% menos de mortalidad debido a Covid-19 que los participantes que no recibieron un refuerzo.  N Engl J Med. 8 de diciembre de 2021

Seguridad e inmunogenicidad de siete vacunas COVID-19 como tercera dosis (refuerzo) tras dos dosis de Oxford-AstraZeneca o Pfizer-BioNTech (ensayo COV-BOOST)

03 diciembre 2021

Todas las vacunas del estudio potenciaron las respuestas de anticuerpos y neutralizantes después del ciclo inicial de ChAdOx1 nCoV-19 /ChAdOx1 nCoV-19, y todas excepto una después de Pfizer-BioNTech / Pfizer-BioNTech, sin problemas de seguridad. Las diferencias sustanciales en las respuestas humorales y celulares y la disponibilidad de la vacuna influirán en las decisiones políticas para la vacunación de refuerzo. Lancet, 2 de diciembre de 2021

Eficacia a nivel nacional de cinco vacunas contra el SARS-CoV-2 en Hungría: el estudio HUN-VE

29 noviembre 2021

Nuestro estudio observacional demostró la eficacia alta o muy alta de cinco vacunas diferentes [BNT162b2 (Pfizer-BioNTech), HB02 (Sinopharm), Gam-COVID-Vac (Sputnik-V), AZD1222 (AstraZeneca) o ARNm-1273 ( Moderna)] en la prevención de la infección por SARS-CoV-2 y la muerte relacionada con Covid-19. Clin Microbiol Infect. 24 de noviembre de 2021

Informe especial de vigilancia de seguridad en vacunas en niños, niñas y adolescentes

18 noviembre 2021

DiCEI (Dirección de Control de Enfermedades Inmunoprevenibles) y CoNaSeVa (Comisión Nacional de Seguridad en Vacunas), Ministerio de Salud | Campaña Nacional de Vacunación contra la COVID-19. Noviembre 2021

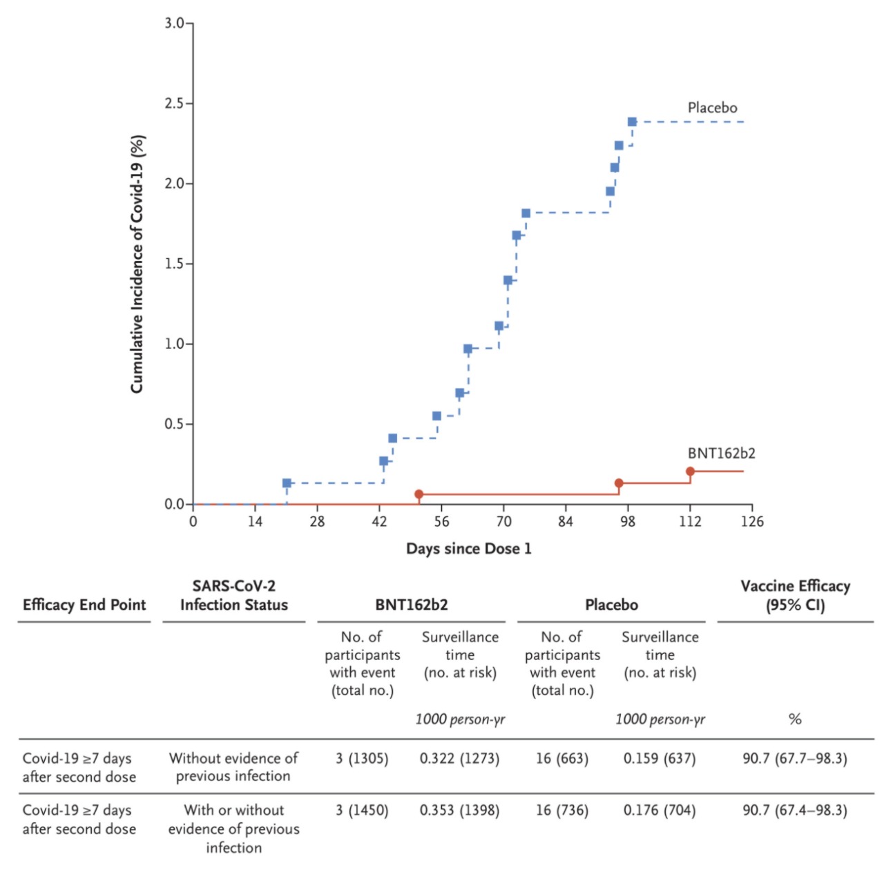
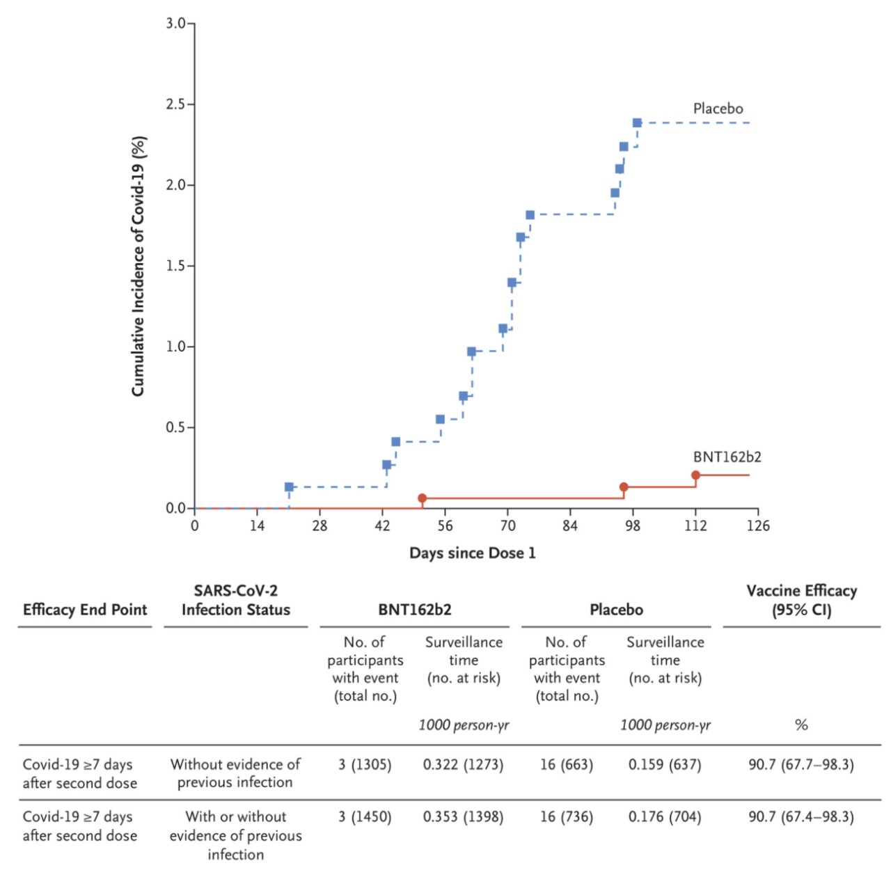
Evaluación de la vacuna Pfizer - BioNTech  (BNT162b2 Covid-19) en niños de 5 a 11 años

10 noviembre 2021

Este estudio encontró que un régimen de vacunación con Covid-19 que consiste en dos dosis de 10 μg de BNT162b2 administradas con 21 días de diferencia es seguro, inmunogénico y eficaz en niños de 5 a 11 años de edad. N Eng J Med, 9 de noviembre de 2021

Categorias

Etiquetas