Farmacología

Efectividad de la vacuna ARNm BNT162b2 COVID-19 hasta 6 meses en un gran sistema de salud integrado en los EE. UU .: un estudio de cohorte retrospectivo

05 octubre 2021

Nuestros resultados apoyan la alta efectividad de BNT162b2 contra los ingresos hospitalarios hasta aproximadamente 6 meses después de haber sido completamente vacunado, incluso frente a la diseminación generalizada de la variante delta. La reducción de la eficacia de la vacuna contra las infecciones por SARS-CoV-2 a lo largo del tiempo probablemente se deba principalmente a la disminución de la inmunidad con el tiempo más que a la variante delta que escapa a la protección de la vacuna. Lancet, 4 de octubre de 2021

Recomendaciones de la EMA sobre terceras dosis y dosis de refuerzo de las vacunas frente a la COVID-19 Comirnaty (BioNTech/Pfizer) y Spikevax (Moderna)

05 octubre 2021

La agencia europea indica que podrían administrarse terceras dosis de las vacunas Comirnaty (BioNTech/Pfizer) y Spikevax (Moderna) a personas  trasplantadas e inmunocomprometidas. También se podría considerar una dosis de refuerzo de Comirnaty a personas de más de 18 años que hayan recibido una segunda dosis hace, al menos, seis meses. Se consideran terceras dosis las que se administran a personas trasplantadas o inmunocomprometidas y dosis de refuerzo las que se administran a personas con un sistema inmune normal. AEMPS, 4 de octubre de 2021

La FDA autoriza una dosis de refuerzo de la vacuna contra el COVID-19 de Pfizer-BioNTech para determinadas poblaciones

24 septiembre 2021

La Administración de Alimentos y Medicamentos de los EE. UU. (FDA, por sus siglas en inglés) enmendó la autorización de uso de emergencia (EUA, por sus siglas en inglés) de la vacuna contra el COVID-19 de Pfizer-BioNTech para permitir el uso de una dosis única de refuerzo, que se administrará al menos seis meses después de completar la serie primaria con la vacuna contra el COVID-19 de Pfizer-BioNTech en: personas de 65 años o mayores, personas de 18 a 64 años de edad con alto riesgo de contraer COVID-19 grave; y personas de 18 a 64 años de edad cuya exposición institucional u ocupacional frecuente al SARS-CoV-2 los pone en alto riesgo de complicaciones graves por COVID-19, incluyendo COVID-19 de gravedad. FDA, 22 de septiembre de 2021

Recurrencia del Síndrome de Guillain-Barré después de la vacuna de ARNm Pfizer-BioNTech

10 septiembre 2021

Estudio que evalúa la seguridad de la vacuna COVID-19 de ARN mensajero en casos diagnosticados previamente de síndrome de Guillian-Barré. En el estudio de cohorte, que incluyó a 702 pacientes, solo 1 necesitó atención médica breve por recaída del síndrome previo, lo que representa un riesgo mínimo.  JAMA Neurol, 1 de septiembre de 2021

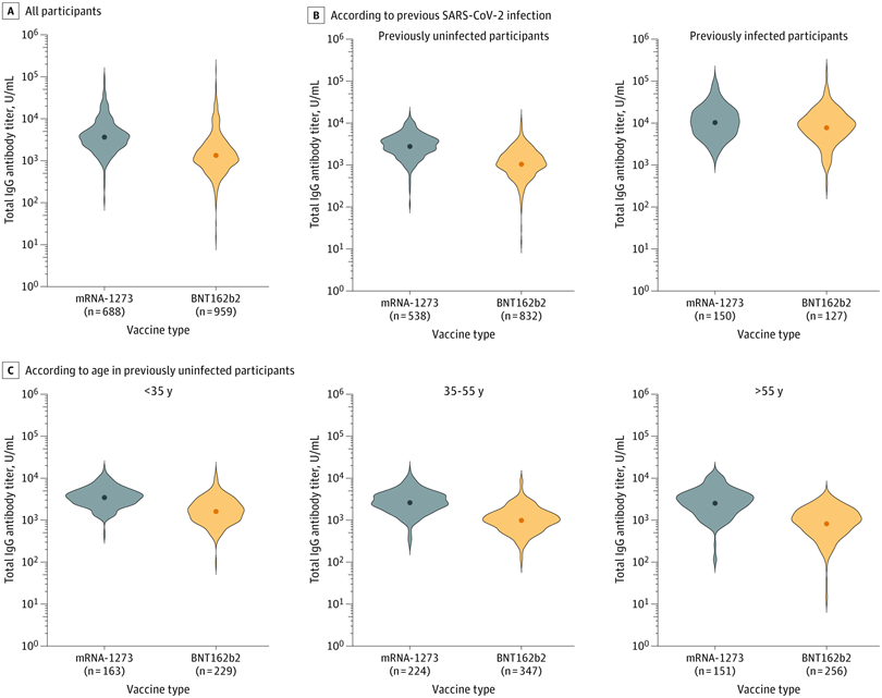
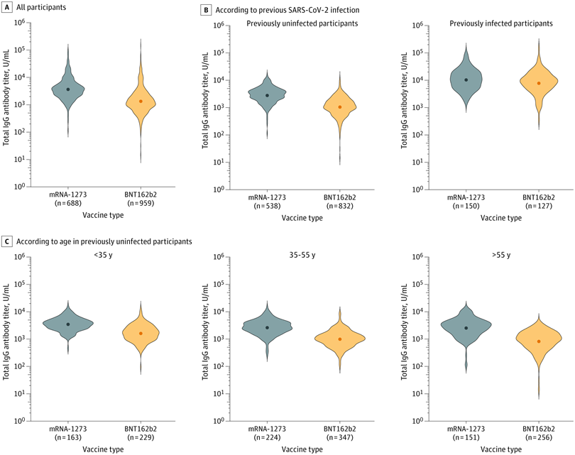
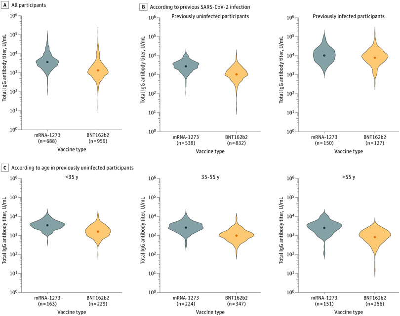
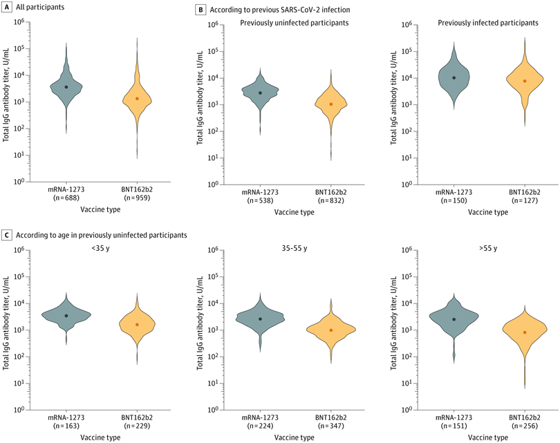
Comparación de la respuesta de anticuerpos del SARS-CoV-2 tras la vacunación con Pfizer-BioNTech y Moderna

01 septiembre 2021

Este estudio encontró una inmunogenicidad humoral significativamente mayor de la vacuna SARS-CoV-2 mRNA-1273 (Moderna) en comparación con la vacuna BNT162b2 (Pfizer-BioNTech), tanto en participantes infectados como no infectados, y en todas las categorías de edad. El mayor contenido de ARNm en ARNm-1273 en comparación con BNT162b2 y el intervalo más largo entre el cebado y el refuerzo para ARNm-1273(3) (4 semanas frente a 3 semanas para BNT162b2) podrían explicar esta diferencia.  JAMA, 30 de Agosto de 2021

Categorias

Etiquetas