Farmacología
Eficacia y efectividad de la vacuna COVID-19: el elefante (no) en la habitación
                    21 abril 2021
                
            
            Las consideraciones sobre eficacia y efectividad se basan en estudios que miden la prevención de la infección por COVID-19 leve a moderada; no se diseñaron para concluir sobre la prevención de la hospitalización, enfermedades graves o la muerte, o sobre la prevención de la infección y el potencial de transmisión. La evaluación de la idoneidad de las vacunas debe considerar todos los indicadores e involucrar la seguridad, la implementación, disponibilidad y costos. Lancet, 20 de abril de 2021
¿Qué define una vacuna COVID-19 eficaz? Una revisión de los desafíos para evaluar la eficacia clínica de las vacunas contra el SARS-CoV-2
                    28 octubre 2020
                
            
            el criterio de valoración de eficacia más importante, la protección contra enfermedades graves y la muerte, es difícil de evaluar en los ensayos clínicos de fase 3. En esta revisión, exploramos los desafíos en la evaluación de la eficacia de las vacunas candidatas contra el SARS-CoV-2, discutimos las advertencias necesarias para interpretar los criterios de valoración de eficacia informados y brindamos información para responder a la pregunta aparentemente simple: “¿Funciona esta vacuna COVID-19? " Lancet Infect Dis 27 de octubre de 2020
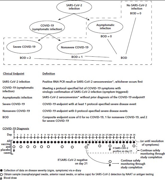
Criterios de desenlace clínicos para evaluar la eficacia en los ensayos de la vacuna COVID-19
                    26 octubre 2020
                
            
            Para facilitar la evaluación armonizada y la comparación de la eficacia de estas vacunas, se propone un conjunto general de criterios de valoración clínicos, junto con consideraciones para orientar la selección de los criterios de valoración primarios sobre la base del razonamiento clínico y estadístico. S Ann Intern Med, 22 de octubre de 2020
Los ensayos de la vacuna COVID 19 deben buscar una eficacia que valga la pena
                    22 septiembre 2020
                
            
            El mundo necesita una evaluación eficiente, rápida y confiable de muchas vacunas candidatas contra COVID-19. Existe el peligro de que las presiones políticas y económicas para la rápida introducción de una vacuna COVID-19 puedan llevar al despliegue generalizado de una vacuna que en realidad es solo débilmente efectiva (p. Ej., Reducir la incidencia de COVID-19 en solo un 10-20%), quizás debido a un resultado engañosamente prometedor de un ensayo con poca potencia. Lancet , 27 de agosto de 2020
Estados Unidos compra las reservas mundiales de remdesivir ¿ por qué el resto del mundo debería estar contento de estar al final de la cola?
                    08 julio 2020
                
            
            