Farmacología

Informe especial de vigilancia de seguridad en vacunas en niños, niñas y adolescentes

18 noviembre 2021

DiCEI (Dirección de Control de Enfermedades Inmunoprevenibles) y CoNaSeVa (Comisión Nacional de Seguridad en Vacunas), Ministerio de Salud | Campaña Nacional de Vacunación contra la COVID-19. Noviembre 2021

Eficacia de un esquema heterólogo de vacunas para la infección sintomática por SARS-CoV-2

18 octubre 2021

Una dosis inicial de ChAdOx1 nCoV-19 (AstraZeneca) seguida de una segunda dosis con vacuna de ARNm (Pfizer o Moderna) resultó una alternativa eficaz para proteger a la población contra Covid-19, incluso contra la variante Delta que dominó los casos confirmados en Suecia durante el período de este estudio. The Lancet Regional Health Europe, 17 de octubre de 2021.

Recomendaciones de la EMA sobre terceras dosis y dosis de refuerzo de las vacunas frente a la COVID-19 Comirnaty (BioNTech/Pfizer) y Spikevax (Moderna)

05 octubre 2021

La agencia europea indica que podrían administrarse terceras dosis de las vacunas Comirnaty (BioNTech/Pfizer) y Spikevax (Moderna) a personas  trasplantadas e inmunocomprometidas. También se podría considerar una dosis de refuerzo de Comirnaty a personas de más de 18 años que hayan recibido una segunda dosis hace, al menos, seis meses. Se consideran terceras dosis las que se administran a personas trasplantadas o inmunocomprometidas y dosis de refuerzo las que se administran a personas con un sistema inmune normal. AEMPS, 4 de octubre de 2021

Efectividad de la vacuna mRNA Covid-19 entre el personal sanitario de EE. UU.

23 septiembre 2021

Las vacunas BNT162b2 y mRNA-1273 fueron altamente efectivas en las condiciones del mundo real para prevenir el Covid-19 sintomático en el personal de atención médica, incluidos aquellos en riesgo de Covid-19 grave y aquellos en grupos raciales y étnicos que se han visto afectados de manera desproporcionada por la pandemia. . (Financiado por los Centros para el Control y la Prevención de Enfermedades-CDC-). N Eng J Med, 22 de septiembre de 2021

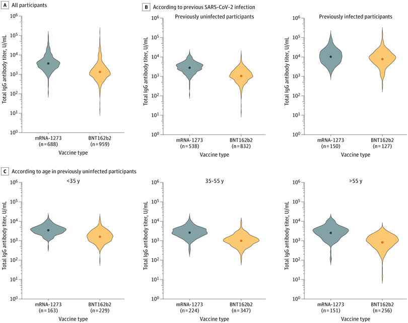
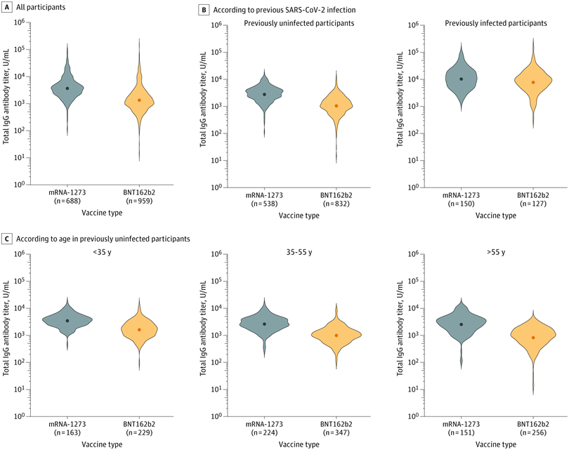
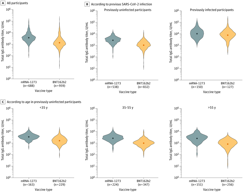
Comparación de la respuesta de anticuerpos del SARS-CoV-2 tras la vacunación con Pfizer-BioNTech y Moderna

01 septiembre 2021

Este estudio encontró una inmunogenicidad humoral significativamente mayor de la vacuna SARS-CoV-2 mRNA-1273 (Moderna) en comparación con la vacuna BNT162b2 (Pfizer-BioNTech), tanto en participantes infectados como no infectados, y en todas las categorías de edad. El mayor contenido de ARNm en ARNm-1273 en comparación con BNT162b2 y el intervalo más largo entre el cebado y el refuerzo para ARNm-1273(3) (4 semanas frente a 3 semanas para BNT162b2) podrían explicar esta diferencia.  JAMA, 30 de Agosto de 2021

Categorias

Etiquetas