Farmacología

Síntomas a largo plazo después de la infección por SARS-CoV-2 en niños y adolescentes (Ciao Corona)

20 julio 2021

Este estudio encuentra una baja prevalencia de síntomas compatibles con COVID prolongado en una cohorte de niños seleccionados al azar evaluados 6 meses después de la prueba serológica. Este estudio informa la distribución de síntomas compatibles con COVID prolongado a nivel poblacional; no recogió infecciones graves por SARS-CoV-2 porque son raras en los niños. Una fortaleza de este estudio es el grupo de control seronegativo basado en la población. JAMA, 15 de julio de 2021

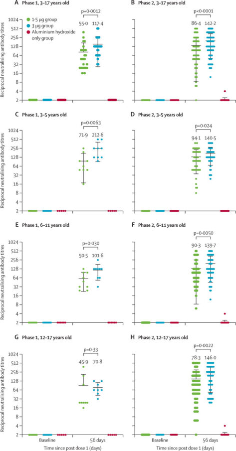
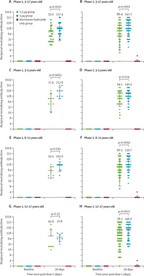
Seguridad, tolerabilidad e inmunogenicidad de la vacuna inactivada contra el SARS-CoV-2 (CoronaVac) en niños y adolescentes

30 junio 2021

CoronaVac es bien tolerada y segura e induce respuestas humorales en niños y adolescentes de 3 a 17 años. Los títulos de anticuerpos neutralizantes inducidos por la dosis de 3,0 µg fueron más altos que los de la dosis de 1,5 µg. Los resultados apoyan el uso de una dosis de 3,0 μg con un calendario de dos inmunizaciones para estudios adicionales en niños y adolescentes. Lancet Infect Dis. 28 de junio de 2021

Tratamiento del síndrome inflamatorio multisistémico en niños

23 junio 2021

No se encuentran pruebas de que la recuperación del síndrome inflamatorio multisistémico (MIS-C) sea diferente después del tratamiento primario con inmunoglobulina intravenosa (IgIV) sola, IgIV más glucocorticoides o glucocorticoides solos, aunque pueden surgir diferencias significativas a medida que se acumulan más datos. N Engl J Med. 16 de junio de 2021

Susceptibilidad a la infección por SARS-CoV-2 en niños y adolescentes en comparación con adultos: revisión sistemática y metanálisis

28 septiembre 2020

En este metanálisis, existe evidencia preliminar de que los niños y adolescentes tienen una menor susceptibilidad al SARS-CoV-2, con una razón de probabilidades de 0.56 para ser un contacto infectado en comparación con los adultos. Existe evidencia débil de que los niños y adolescentes desempeñan un papel menor que los adultos en la transmisión del SARS-CoV-2 a nivel poblacional. Este estudio no proporciona información sobre la infectividad de los niños. JAMA Pediatr, 25 de septiembre de 2020.

Características clínicas de niños y jóvenes ingresados en un hospital con covid-19 en Reino Unido

28 agosto 2020

Los niños y jóvenes tienen covid-19 agudo menos grave que los adultos. Se identifica un grupo de síntomas sistémicos mucocutáneo-entéricos en casos agudos que comparte características con el síndrome inflamatorio múltiple relacionado temporalmente con la enfermedad por Covid-19 (MIS-C). Los niños que cumplen con los criterios de MIS-C tienen diferentes características demográficas y clínicas dependiendo de si tienen una infección aguda por SARS-CoV-2 (reacción en cadena de la polimerasa positiva) o post aguda (anticuerpos positivos). BMJ, 27 de agosto de 2020

Categorias

Etiquetas