Farmacología

Antibióticos para la otitis media con derrame (OMD) en niños

30 octubre 2023

La evidencia del uso de antibióticos para la OMD es de certeza baja a muy baja. Aunque el uso de antibióticos en comparación con ningún tratamiento podría tener un ligero efecto beneficioso sobre la resolución de la OMD hasta los tres meses, el impacto general sobre la audición no está muy claro. Los efectos a largo plazo de los antibióticos son inciertos y pocos estudios incluidos en esta revisión informaron sobre los posibles efectos perjudiciales. Cochrane Database of Systematic Reviews, 23 de octubre de 2023

Informe especial de vigilancia de seguridad en vacunas en niños, niñas y adolescentes

18 noviembre 2021

DiCEI (Dirección de Control de Enfermedades Inmunoprevenibles) y CoNaSeVa (Comisión Nacional de Seguridad en Vacunas), Ministerio de Salud | Campaña Nacional de Vacunación contra la COVID-19. Noviembre 2021

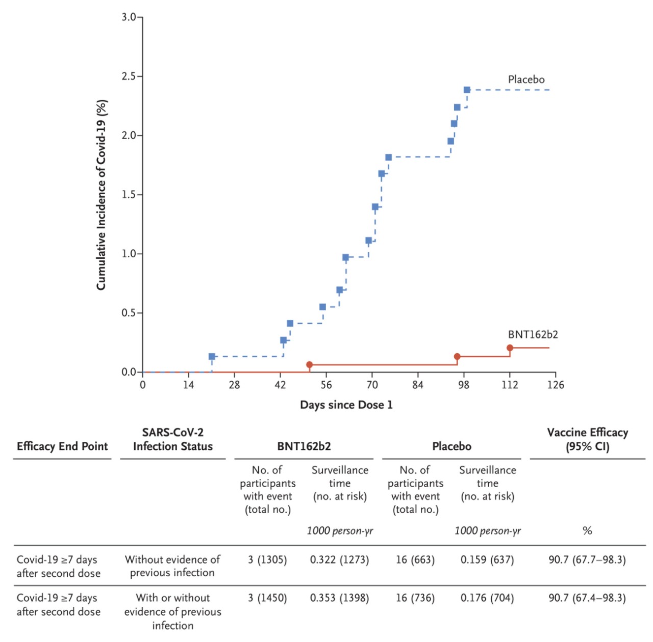
Evaluación de la vacuna Pfizer - BioNTech  (BNT162b2 Covid-19) en niños de 5 a 11 años

10 noviembre 2021

Este estudio encontró que un régimen de vacunación con Covid-19 que consiste en dos dosis de 10 μg de BNT162b2 administradas con 21 días de diferencia es seguro, inmunogénico y eficaz en niños de 5 a 11 años de edad. N Eng J Med, 9 de noviembre de 2021

Seguridad, inmunogenicidad y eficacia de las vacunas COVID-19 en niños y adolescentes: revisión sistemática.

05 noviembre 2021

Dos vacunas COVID-19 tienen efectos protectores potenciales en niños y adolescentes, pero se necesita conciencia para monitorear los posibles efectos adversos después de la inyección. Aún se necesitan con urgencia estudios clínicos de la vacuna COVID-19 en niños y adolescentes con mayor tiempo de seguimiento, mayor tamaño de muestra y una mayor variedad de vacunas. Vaccines (Basel), 29 de septiembre de 2021

Factores que influyen en la opinión y la práctica de padres y cuidadores informales con respecto a la vacunación infantil sistemática: una síntesis de la evidencia cualitativa

02 noviembre 2021

as opiniones y prácticas parentales respecto a la vacunación infantil son procesos sociales complejos y dinámicos que reflejan varias redes de influencia, significado y lógica. Mediante la misma se ha proporcionado una comprensión teórica de los procesos sociales que contribuyen a la aceptación (o no) de la vacunación, complementando así, pero también ampliando, modelos más individualistas acerca de la aceptación de la vacunación. El éxito en la elaboración de intervenciones para promover la aceptación y la vacunación infantil requerirá comprender los factores específicos que influyen en las opiniones y las prácticas de vacunación del grupo o grupos del contexto de interés y adaptar dichas intervenciones a estos factores. Cochrane Database Syst Rev, 27 de octubre de 2021

Categorias

Etiquetas