Farmacología

Colesterol LDL, riesgo de enfermedades cardiovasculares y mortalidad en China

22 julio 2024

En este estudio de cohorte, con más de 3.7 millones de participantes, se detectó una asociación en forma de U entre el valor de colesterol LDL y la mortalidad en las cohortes de prevención primaria (tanto si el riesgo cardiovascular a 10 años era menor al 10% como si era mayor), y una asociación en forma de J en la cohorte de prevención secundaria. Estos hallazgos sugieren que las estrategias de manejo de lípidos deben ser diferentes en individuos con diferentes niveles de riesgo de enfermedad cardiovascular ateroesclerótica. JAMA Network Open, 18 de julio de 2024.

Nivel de educación alcanzado como determinante social de la salud cardiovascular

08 noviembre 2023

Un menor grado de educación se asoció con un mayor riesgo de eventos cardiovasculares a lo largo de la vida adulta; la educación superior se tradujo en una longevidad saludable. Las iniciativas de política educativa pueden asociarse con beneficios para la salud a largo plazo. JAMA Cardiology, 1º de noviembre de 2023.

Efectos del modelo "Million Hearts" sobre los eventos cardiovasculares y el gasto de Medicare

23 octubre 2023

El modelo "Million Hearts" consiste en pagar a las organizaciones de atención médica para estimular la evaluación del riesgo cardiovascular y la implementación de las recomendaciones para disminuirlo, acorde a las guías de práctica clínica. Se comparó en un ensayo clínico el resultado de aplicar este modelo frente a la atención usual, en pacientes de Medicare de Estados Unidos. Se observó una pequeña reducción absoluta del riesgo de eventos cardiovasculares de 0,4% a cinco años, sin cambios en el gasto. JAMA, 17 de octubre de 2023.

Componentes del riesgo cardiovascular: un nuevo informe del estudio PURE

12 septiembre 2022

Los marcadores de dislipemia y de depresión están más fuertemente asociados con el riesgo de enfermedad cardiovascular en los hombres que en las mujeres, mientras que la dieta está más fuertemente asociada al riesgo en mujeres que en hombres. Para los otros factores de riesgo cardiovascular, no se halló diferencia entre los sexos. The Lancet, 10 de septiembre de 2022.

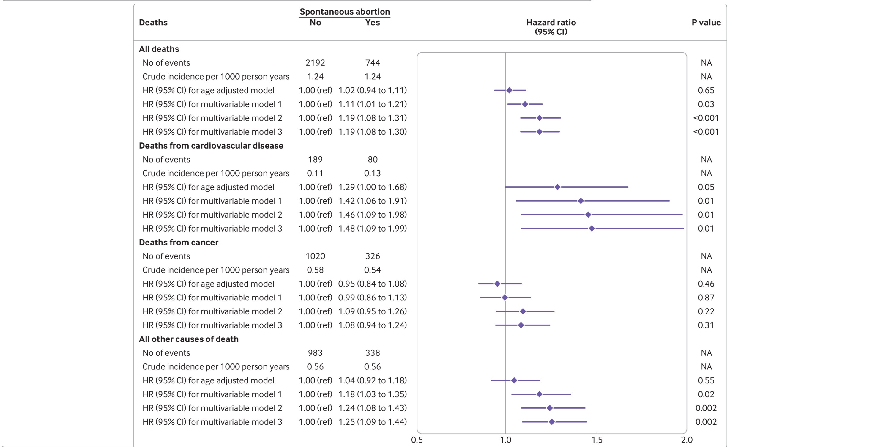
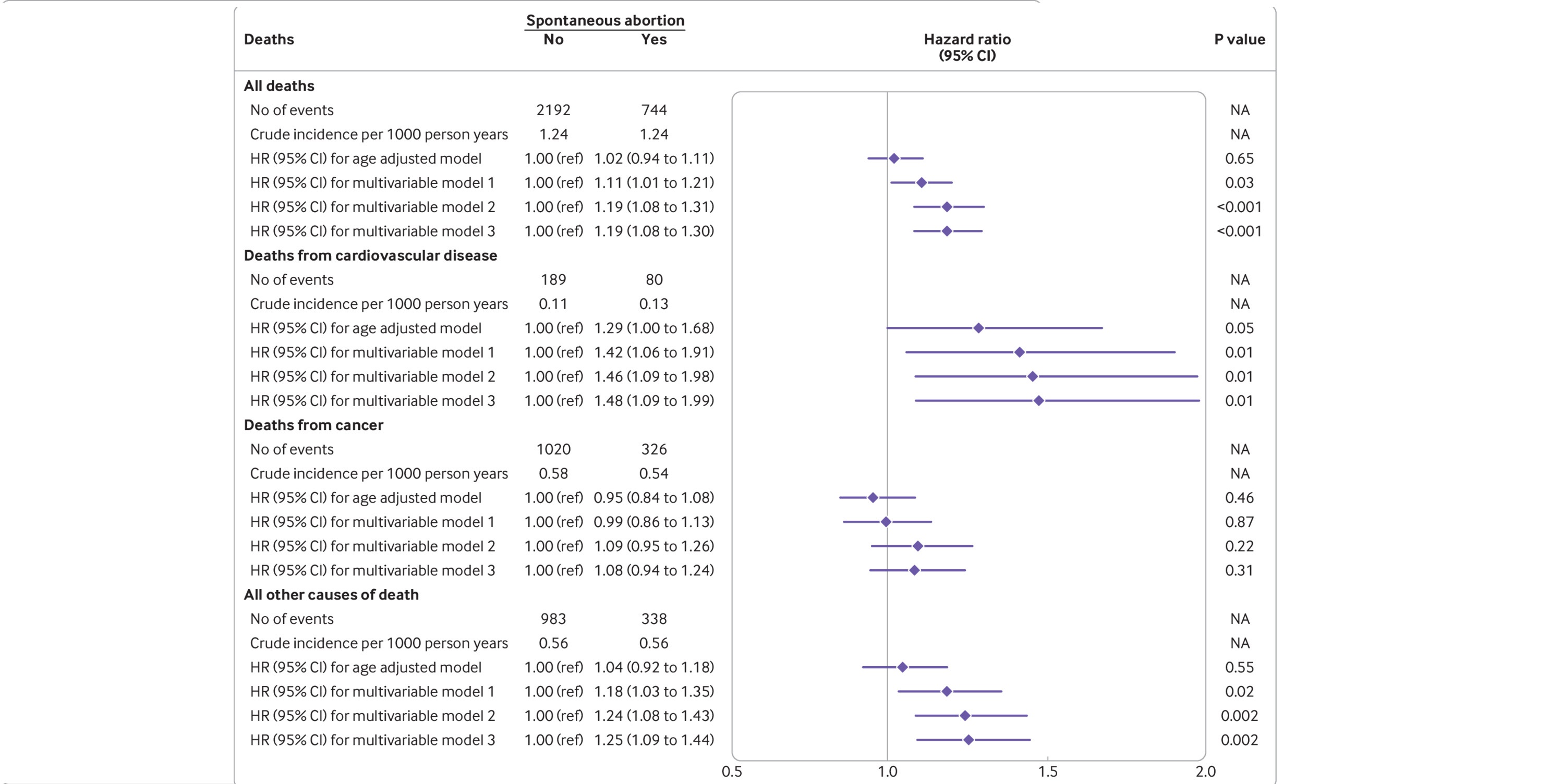
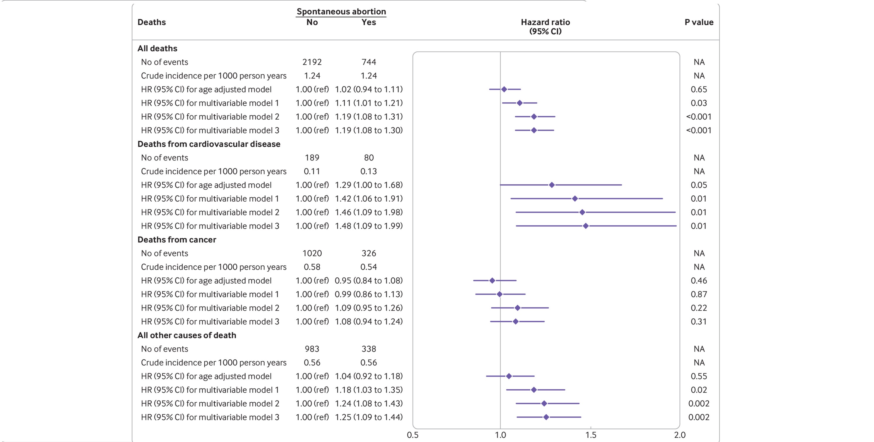
Abortos espontáneos y mortalidad prematura

25 marzo 2021

Si bien los valores absolutos del aumento de riesgo fueron pequeños, la ocurrencia de abortos espontáneos se asoció con una mayor probabilidad de mortalidad prematura, particularmente por enfermedad cardiovascular. British Medical Journal, 24 de marzo de 2021.

Categorias

Etiquetas