Farmacología
Factores de riesgo y perfil de la enfermedad de la infección por SARS-CoV-2 posterior a la vacunación en usuarios de la aplicación COVID Symptom Study en el Reino Unido
02 septiembre 2021
Algunas personas aún se infectan con el SARS-CoV-2 después de la vacunación; estos datos sugieren que los adultos mayores frágiles y los que viven en áreas más desfavorecidas corren un mayor riesgo. Sin embargo, en personas vacunadas con 1 o 2 dosis tuvieron probabilidades significativamente más bajas de enfermedad grave, hospitalización o COVID prolongado, que en personas no vacunadas . Lancet Infect Dis, 1 de septiembre de 2021
Comparación de la respuesta de anticuerpos del SARS-CoV-2 tras la vacunación con Pfizer-BioNTech y Moderna
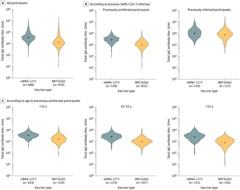
01 septiembre 2021
Este estudio encontró una inmunogenicidad humoral significativamente mayor de la vacuna SARS-CoV-2 mRNA-1273 (Moderna) en comparación con la vacuna BNT162b2 (Pfizer-BioNTech), tanto en participantes infectados como no infectados, y en todas las categorías de edad. El mayor contenido de ARNm en ARNm-1273 en comparación con BNT162b2 y el intervalo más largo entre el cebado y el refuerzo para ARNm-1273(3) (4 semanas frente a 3 semanas para BNT162b2) podrían explicar esta diferencia. JAMA, 30 de Agosto de 2021
Eficacia de una vacuna contra el paludismo comparada con la quimioprofilaxis en niños de 5 a 17 meses de edad
01 septiembre 2021
La administración de la vacuna RTS,S/AS01E no fue inferior a la quimioprevención para prevenir el paludismo no complicado. Más aún, la combinación de estas intervenciones resultó en una incidencia sustancialmente menor de paludismo no complicado, paludismo grave y muerte por paludismo que cualquiera de las intervenciones por sí solas. New England Journal of Medicine, 25 de agosto de 2021.
Riesgo de trombocitopenia y tromboembolismo tas la vacunación con covid-19 y pruebas positivas de SARS-CoV-2
30 agosto 2021
Se observó mayor riesgo de eventos hematológicos y vasculares que llevaron al ingreso hospitalario o la muerte durante breves intervalos de tiempo tras las primeras dosis de las vacunas las Oxford-AstraZeneca y Pfizer-BioNTech Covid-19. Los riesgos de la mayoría de estos eventos fueron sustancialmente mayores y más prolongados después de la infección por SARS-CoV-2 que después de la vacunación en la misma población. BMJ, 27 de Agosto de 2021
Información para profesionales sanitarios sobre el síndrome de Guillain-Barré (GBS) tras la vacunación COVID-19
25 agosto 2021