Farmacología

Miocarditis como efecto adverso de las vacunas de mRNA para COVID-19

22 noviembre 2022

La incidencia de miocarditis luego de la vacunas de mARN fue claramente superior a la esperada, con un riesgo absoluto bajo, en el orden de 1 a 2 casos cada 100.000 dosis aplicadas. La complicación fue más frecuente en varones jóvenes -18 a 29 años- y en aquellos que recibieron la vacuna mRNA-1273 (Moderna) que la BNT162b2 (Pfizer-BioNTech). Canadian Medical Association Journal, 21 de noviembre de 2022.

Riesgo comparativo de trombosis con síndrome de trombocitopenia o eventos tromboembólicos asociados con diferentes vacunas covid-19: estudio de cohorte de red internacional de cinco países europeos y EE. UU.

28 octubre 2022

En este estudio multinacional, se observó un aumento del 30 % en el riesgo combinado de trombocitopenia después de una primera dosis de la vacuna ChAdOx1-S, así como una tendencia hacia un mayor riesgo de trombosis venosa con síndrome de trombocitopenia después de Ad26.COV2.S en comparación con BNT162b2 . Aunque raros, los riesgos observados después de las vacunas basadas en adenovirus deben tenerse en cuenta al planificar campañas de inmunización adicionales y el desarrollo de vacunas futuras. BMJ, 26 de octubre de 2022

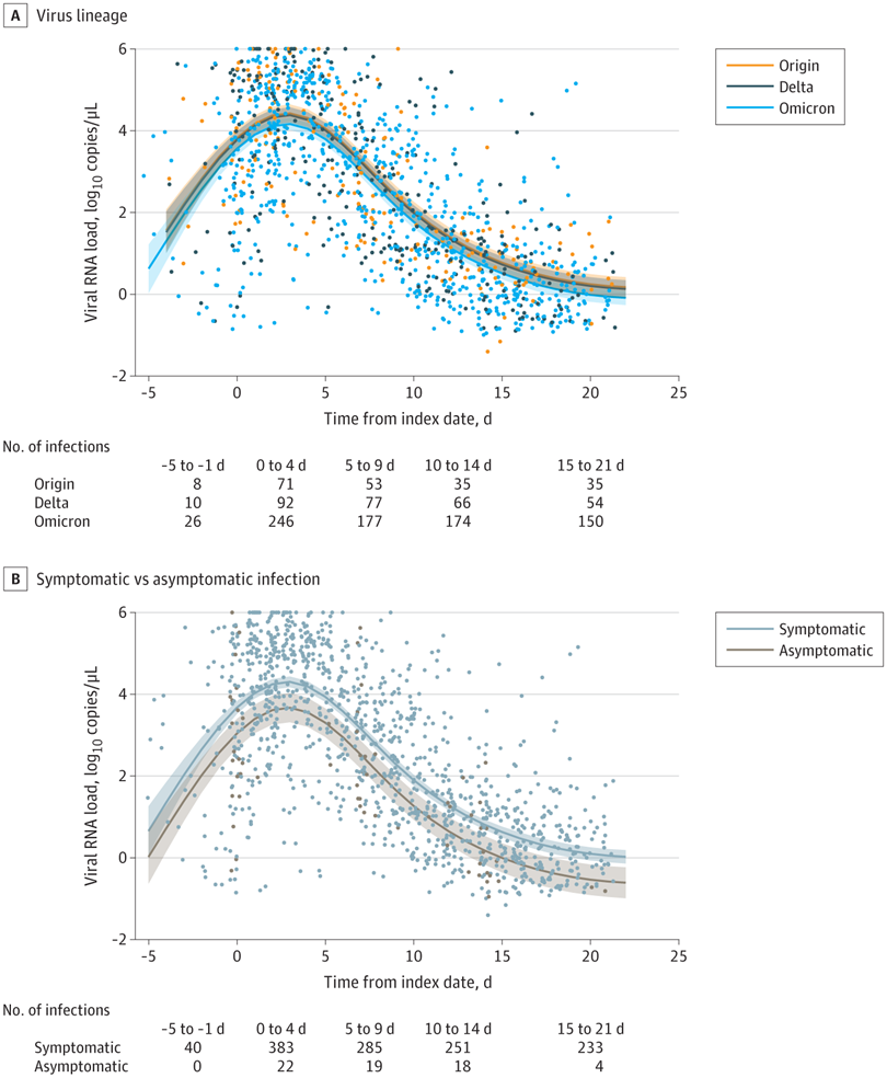
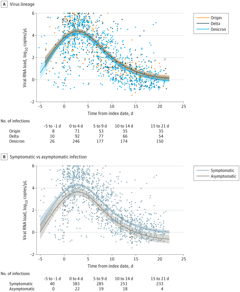
Asociación de vacunación de ARNm con características clínicas y virológicas de COVID-19 entre trabajadores esenciales y de primera línea de EE. UU.

24 octubre 2022

En una cohorte de trabajadores esenciales y de primera línea de EE. UU. con infecciones por SARS-CoV-2, la vacunación reciente con 2 o 3 dosis de vacuna de ARNm menos de 150 días antes de la infección con variantes Delta u Omicron, en comparación con no vacunarse, se asoció con atenuación síntomas, duración de la enfermedad, búsqueda de atención médica o carga viral para algunas comparaciones, aunque la precisión y la significación estadística de las estimaciones específicas variaron. JAMA. 18 de octubre de 2022

Eventos adversos graves de especial interés después de la vacunación con mRNA COVID-19 en ensayos aleatorizados en adultos

08 septiembre 2022

El exceso de riesgo de eventos adversos graves encontrado en nuestro estudio apunta a la necesidad de análisis formales de daño-beneficio, particularmente aquellos que se estratifican según el riesgo de resultados graves de COVID-19. Estos análisis requerirán la publicación pública de conjuntos de datos a nivel de participantes. Vaccine, 30 de agosto de 2022

Efectividad de una cuarta dosis de la vacuna de ARNm covid-19 contra la variante Omicron entre residentes de atención a largo plazo en Ontario

27 julio 2022

Los hallazgos sugieren que, en comparación con una tercera dosis de la vacuna covid-19 de ARNm, una cuarta dosis mejoró la protección contra la infección, la infección sintomática y los resultados graves entre los residentes de cuidados a largo plazo durante un período dominante de omicrones. Una cuarta dosis de vacuna se asoció con una fuerte protección contra resultados graves en los residentes vacunados en comparación con los residentes no vacunados, aunque se desconoce la duración de la protección. BMJ 6 de julio de 2022

Categorias

Etiquetas