Farmacología

Hallazgos provisionales de la implementación de la vacunación masiva de COVID-19 de primera dosis y las admisiones hospitalarias de COVID-19 en Escocia: estudio de cohorte prospectivo nacional

26 abril 2021

La implementacion masiva de las primeras dosis de las vacunas de ARNm BNT162b2 y ChAdOx1 se asoció con reducciones sustanciales en el riesgo de ingreso hospitalario por COVID-19 a los 28 a 34 días  [BNT162b2: 91% (IC95: 85–94) ChAdOx1 : 88% (IC95:75–94)] en Escocia. Existe la posibilidad de que algunos de los efectos observados se hayan debido a un factor de confusión residual. Lancet, 23 de abril de 2021

Vacunas contra el COVID-19 en Argentina

23 abril 2021

El informe sintetiza la experiencia de las vacunas contra el COVID-19 y la campaña de vacunación en Argentina. Presenta la información sobre las vacunas autorizadas, las notificaciones de ESAVI correspondientes a la campaña de vacunación, las variantes del SARS-CoV-2 aisladas en Argentina y la estrategia de diferir la aplicación de la segunda dosis de vacunas COVID-19. FEMEBA/ Fundación FEMEBA, 20 de abril de 2021

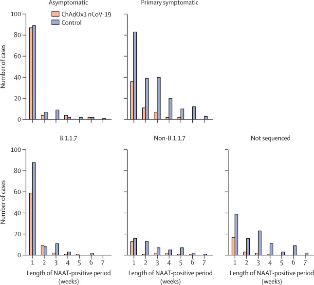
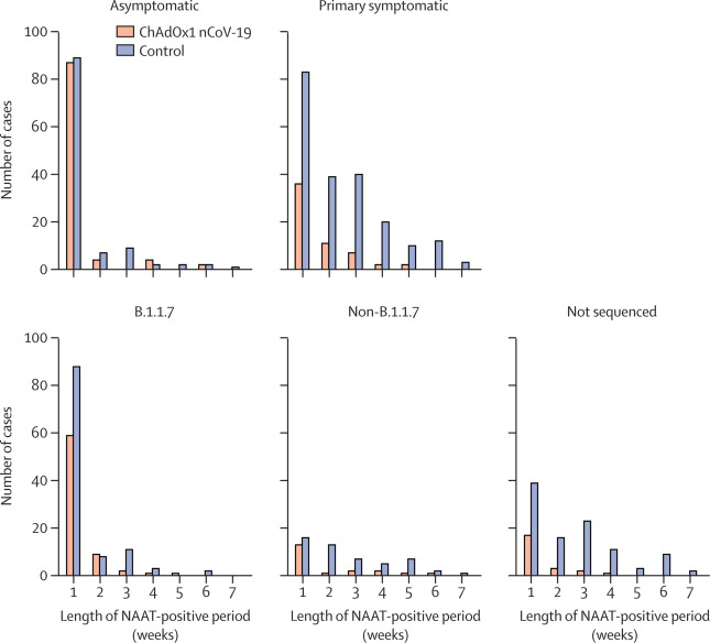
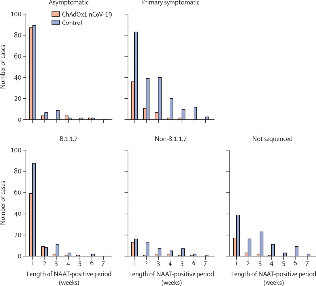
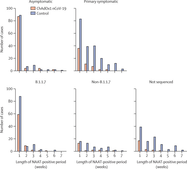
Eficacia de la vacuna AstraZeneca  contra la variante británica: análisis exploratorio de un ensayo controlado aleatorio

31 marzo 2021

la vacuna AstraZeneca (ChAdOx1 nCoV-19) mostró una actividad de neutralización reducida contra la variante B.1.1.7 en comparación con una variante no B.1.1.7 in vitro, pero la vacuna mostró eficacia contra la variante B.1.1.7 del SARS-CoV-2. Lancet, 30 de marzo de 2021

Categorias

Etiquetas