Farmacología
Eficacia de las vacunas Pfizer-BioNTech y Oxford-AstraZeneca sobre covid-19 en adultos mayores en Inglaterra
                    14 mayo 2021
                
            
            La vacunación con una dosis de BNT162b2 o ChAdOx1-S se asoció con una reducción significativa del covid-19 sintomático en los adultos mayores y con una mayor protección contra la enfermedad grave. Ambas vacunas mostraron efectos similares. La protección se mantuvo durante el seguimiento (> 6 semanas). Una segunda dosis de BNT162b2 se asoció con una mayor protección contra la enfermedad sintomática. Se encontró un claro efecto de las vacunas contra la variante B.1.1.7 (variante británica). BMJ, 13 de mayo de 2021
Eficacia de la vacuna AstraZeneca contra la variante británica: análisis exploratorio de un ensayo controlado aleatorio
                    31 marzo 2021
                
            
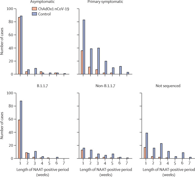
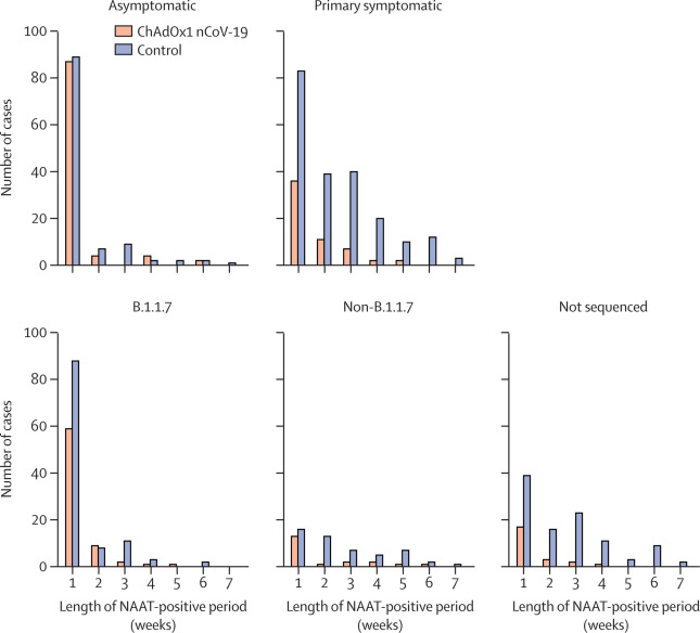
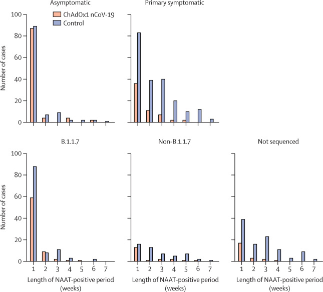
            la vacuna AstraZeneca (ChAdOx1 nCoV-19) mostró una actividad de neutralización reducida contra la variante B.1.1.7 en comparación con una variante no B.1.1.7 in vitro, pero la vacuna mostró eficacia contra la variante B.1.1.7 del SARS-CoV-2. Lancet, 30 de marzo de 2021
Reanudación de la vacunación en Europa con AstraZeneca. Preguntas frecuentes
                    26 marzo 2021
                
            
            En función del próximo arribo de la vacuna a nuestro país, mediante en el mecanismo COVAX, compartimos el documento de la Agencia Española de Medicamentos y Productos Sanitarios (AEMPS), 23 de marzo de 2021
OMS considera que los beneficios de la vacuna de AstraZeneca son mayores que sus riesgos y recomienda que se siga administrando la vacuna
                    19 marzo 2021
                
            
            Declaración de la OMS sobre las señales en materia de seguridad relativas a la vacuna de AstraZeneca contra la COVID-19. OMS, 17 de marzo de 2021
España: 2º Informe de Farmacovigilancia sobre Vacunas COVID-19
                    10 febrero 2021
                
            
            