Farmacología
Seguridad, tolerabilidad e inmunogenicidad de la vacuna inactivada contra el SARS-CoV-2 (CoronaVac) en niños y adolescentes
                    30 junio 2021
                
            
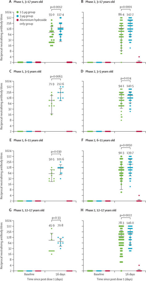
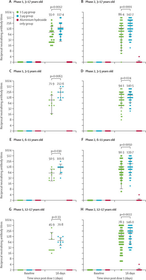
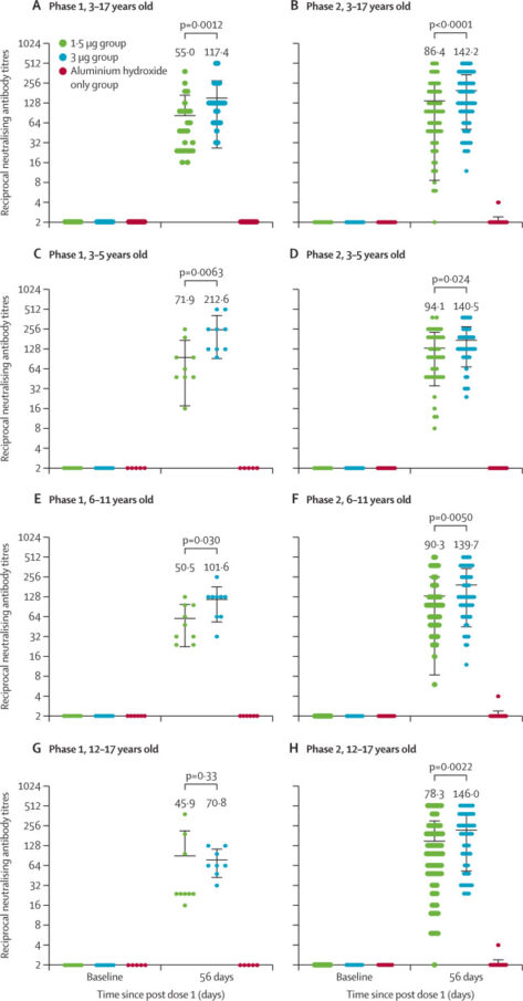
            CoronaVac es bien tolerada y segura e induce respuestas humorales en niños y adolescentes de 3 a 17 años. Los títulos de anticuerpos neutralizantes inducidos por la dosis de 3,0 µg fueron más altos que los de la dosis de 1,5 µg. Los resultados apoyan el uso de una dosis de 3,0 μg con un calendario de dos inmunizaciones para estudios adicionales en niños y adolescentes. Lancet Infect Dis. 28 de junio de 2021
Seguridad, inmunogenicidad y eficacia de la vacuna Covid-19 Pfizer- BioNTech (BNT162b2) en adolescentes
                    28 mayo 2021
                
            
            La vacuna BNT162b2 en receptores de 12 a 15 años tuvo un perfil de seguridad favorable, produjo una mayor respuesta inmune que en adultos jóvenes y fue altamente efectiva contra Covid-19. N Engl J Med. 27 de mayo de 2021
Características clínicas de niños y jóvenes ingresados en un hospital con covid-19 en Reino Unido
                    28 agosto 2020
                
            
            