Farmacología

Aumento temporal de la potencia de neutralización de los anticuerpos del SARS-CoV-2 y reducción del escape de variantes virales después de la vacunación con Sputnik V. PREPRINT

26 agosto 2021

Estas observaciones sugieren que la protección aumenta durante los seis meses siguientes a la vacunación como consecuencia de la maduración de los anticuerpos, lo que resulta en una potencia mejorada de los anticuerpos contra las mutaciones de escape viral. medRxiv, 25 de agosto de 2021

La vacuna Sputnik V provoca seroconversión y capacidad neutralizante al SARS CoV-2 después de una dosis única

14 julio 2021

La alta tasa de seroconversión después de una sola dosis en participantes sin experiencia sugiere un beneficio de retrasar la administración de la segunda dosis para aumentar el número de personas vacunadas. Los datos presentados proporcionan información para orientar las decisiones de salud pública a la luz de la actual emergencia sanitaria mundial. Cell Reports Medicine, ‎9 de julio de 2021‎

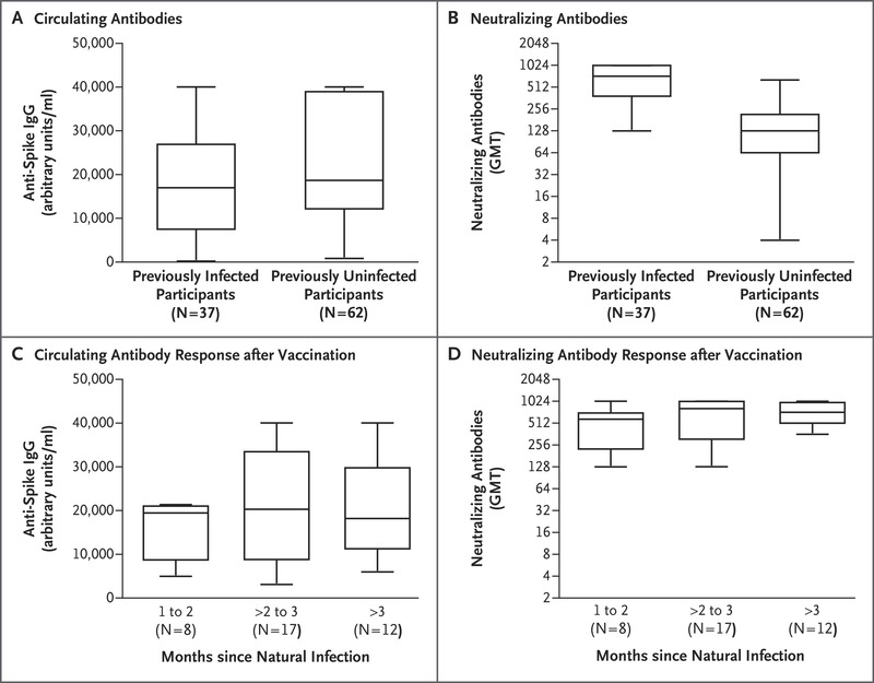
Respuesta de anticuerpos SARS-CoV-2 en personas con infección natural pasada

06 julio 2021

Los hallazgos proporcionan evidencia de que después de la administración de una sola dosis de vacuna, la respuesta humoral contra el SARS-CoV-2 en personas con antecedentes de infección por SARS-CoV-2 es mayor que la respuesta en participantes no infectados previamente que han recibido una segunda dosis. N Engl J Med, 1 de julio de 2021

Respuesta neutralizante contra variantes después de la infección por SARS-CoV-2 y una dosis de BNT162b2

07 mayo 2021

Este estudio mostró que, en nuestra pequeña cohorte, una dosis de vacuna aumentó sustancialmente la actividad neutralizante contra todas las variantes probadas, con títulos similares detectados en pacientes para cada variante. Esto resalta la importancia de la vacunación incluso en pacientes previamente infectados, dado el beneficio adicional de una mayor respuesta de anticuerpos a las variantes probadas. N Engl J Med,7 de abril de 2021

Seroprevalencia y durabilidad inmune humoral de los anticuerpos anti-SARS-CoV-2 en Wuhan, Chin

23 marzo 2021

El 6,92% de una muestra transversal de la población de Wuhan desarrolló anticuerpos contra el SARS-CoV-2, y el 39,8% de esta población seroconvirtió para mantener anticuerpos neutralizantes. Los datos de duración de las respuestas humorales indican que es necesaria la vacunación masiva para alcanzar la protección de rebaño y prevenir el resurgimiento de la epidemia.Lancet, 20 de marzo de 2021

Categorias

Etiquetas