Farmacología

Características de la variante mu del SARS-CoV-2

04 noviembre 2021

La variante mu muestra una pronunciada resistencia a los anticuerpos provocados por la infección natural por SARS-CoV-2 y por la vacuna de ARNm BNT162b2. Debido a que el avance de las infecciones de las variantes emergentes del SARS-CoV-2 representa una amenaza importante, los autores plantean que se justifica una caracterización y un seguimiento adicionales de esta variante de interés. New England Journal of Medicine, 3 de noviembre de 2021.

Aumento temporal de la potencia de neutralización de los anticuerpos del SARS-CoV-2 y reducción del escape de variantes virales después de la vacunación con Sputnik V. PREPRINT

26 agosto 2021

Estas observaciones sugieren que la protección aumenta durante los seis meses siguientes a la vacunación como consecuencia de la maduración de los anticuerpos, lo que resulta en una potencia mejorada de los anticuerpos contra las mutaciones de escape viral. medRxiv, 25 de agosto de 2021

Infecciones por SARS-CoV-2 en personal de salud vacunado

29 julio 2021

En los trabajadores de la salud completamente vacunados, la aparición de infecciones irruptivas por SARS-CoV-2 se correlacionó con títulos más bajos de anticuerpos neutralizantes durante el período peri-infección. La mayoría de las infecciones fueron leves o asintomáticas, aunque algunas presentaron síntomas persistentes. New England Journal of Medicine, 28 de julio de 2021.

La vacuna Sputnik V provoca seroconversión y capacidad neutralizante al SARS CoV-2 después de una dosis única

14 julio 2021

La alta tasa de seroconversión después de una sola dosis en participantes sin experiencia sugiere un beneficio de retrasar la administración de la segunda dosis para aumentar el número de personas vacunadas. Los datos presentados proporcionan información para orientar las decisiones de salud pública a la luz de la actual emergencia sanitaria mundial. Cell Reports Medicine, ‎9 de julio de 2021‎

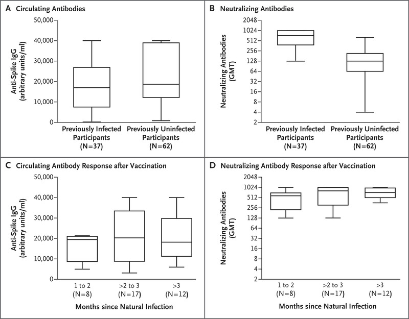
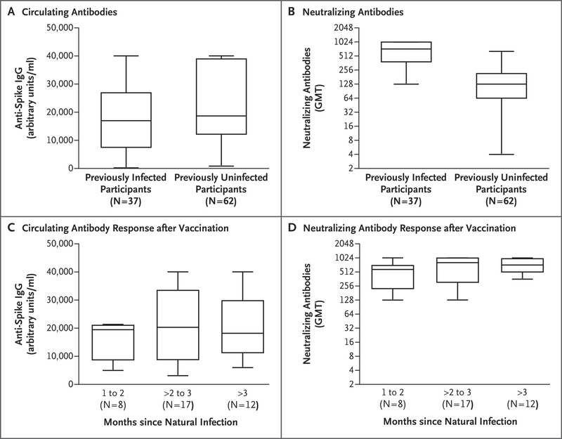
Respuesta de anticuerpos SARS-CoV-2 en personas con infección natural pasada

06 julio 2021

Los hallazgos proporcionan evidencia de que después de la administración de una sola dosis de vacuna, la respuesta humoral contra el SARS-CoV-2 en personas con antecedentes de infección por SARS-CoV-2 es mayor que la respuesta en participantes no infectados previamente que han recibido una segunda dosis. N Engl J Med, 1 de julio de 2021

Categorias

Etiquetas