Farmacología

Efectividad de las vacunas contra Covid-19 en los adolescentes

13 enero 2022

En el grupo de 12 a 18 años de edad, dos dosis de vacuna BNT162b2 brindan una protección del 94% contra la internación, del 98% contra el ingreso a UCI y del 98% contra la necesidad de  soporte vital. New England Journal of Medicine, 12 de enero de 2022.

Duración de la protección de las vacunas contra formas leves y graves de Covid-19

13 enero 2022

Un estudio de casos y controles que involucró a más de 6 millones de personas en Inglaterra vacunadas con dos dosis de  ChAdOx1-S o BNT162b2 mostró una alta efectividad de la vacuna contra la hospitalización y la muerte por Covid-19 a los 20 semanas o más después de la vacunación. La protección contra la infección sintomática se reduj en forma acentuada, especialmente  en las personas mayores o con factores de riesgo subyacentes. New England Journal of Medicine, 12 de enero de 2022.

Eficacia de la dosis de refuerzo de la vacuna BNT162b2 para reducir la mortalidad

27 diciembre 2021

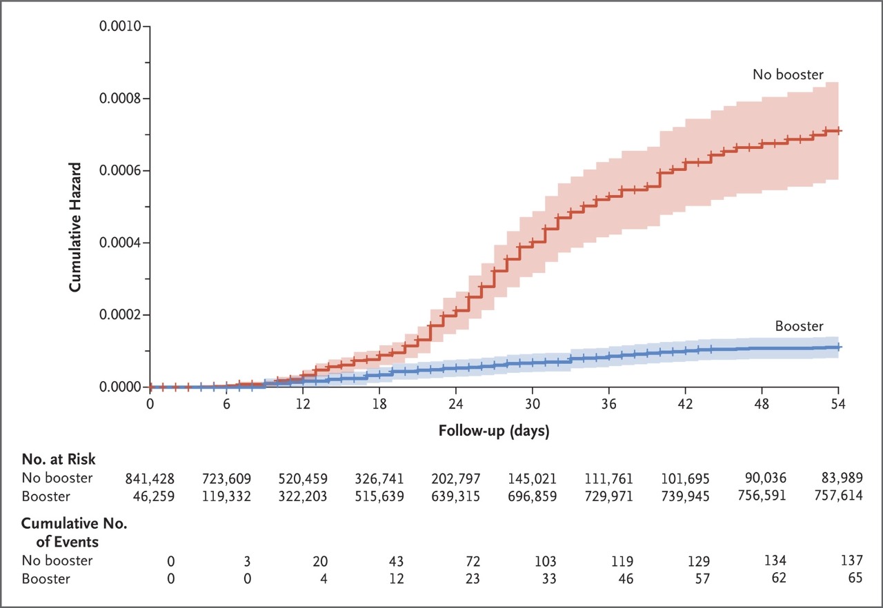
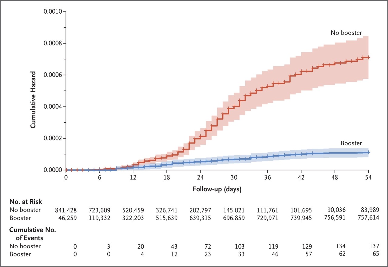
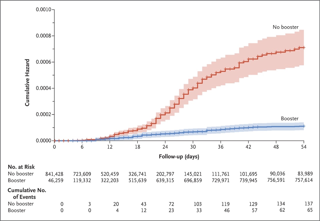
En este estudio observacional realizado en israel, los participantes que recibieron un refuerzo de la vacuna BNT162b2 (Pfizer) al menos 5 meses después de una segunda dosis tuvieron un 90% menos de mortalidad debido a Covid-19 que los participantes que no recibieron un refuerzo. New England Journal of Medicine, 23 de diciembre de 2021.

Refuerzo de la vacuna BNT162b2 (Pfizer-BioNTech ) y mortalidad debida a Covid-19

10 diciembre 2021

Los participantes que recibieron un refuerzo al menos 5 meses después de una segunda dosis de BNT162b2 (Pfizer-BioNTech) tuvieron un 90% menos de mortalidad debido a Covid-19 que los participantes que no recibieron un refuerzo.  N Engl J Med. 8 de diciembre de 2021

Eficacia a nivel nacional de cinco vacunas contra el SARS-CoV-2 en Hungría: el estudio HUN-VE

29 noviembre 2021

Nuestro estudio observacional demostró la eficacia alta o muy alta de cinco vacunas diferentes [BNT162b2 (Pfizer-BioNTech), HB02 (Sinopharm), Gam-COVID-Vac (Sputnik-V), AZD1222 (AstraZeneca) o ARNm-1273 ( Moderna)] en la prevención de la infección por SARS-CoV-2 y la muerte relacionada con Covid-19. Clin Microbiol Infect. 24 de noviembre de 2021

Categorias

Etiquetas