Farmacología

Salbutamol-budesonida a demanda  para el asma leve

21 mayo 2025

En pacientes con asma leve, el uso de la combinación de salbutamol-budesonida administrada según necesidad fue superior al salbutamol solo para el control de las exacerbaciones del asma, y además redujo la exposición a corticoides sistémicos. New England Journal of Medicine, 19 de mayo de 2025.

Eficacia y seguridad comparativas de terapias triples con un solo inhalador para la EPOC

02 enero 2025

La budesonida-glicopirrolato-formoterol no se asoció con mejores resultados clínicos en comparación con fluticasona-umeclidinio-vilanterol. Dado el impacto climático adicional de los inhaladores de dosis medida, los sistemas de salud que buscan disminuir el uso de estos productos pueden considerar medidas para promover una mayor prescripción de fluticasona-umeclidinio-vilanterol en comparación con budesonida-glicopirrolato-formoterol en personas con EPOC. BMJ, 30 de diciembre de 2024.

Fluvoxamina oral con budesonida inhalada para el tratamiento de la COVID-19 de inicio temprano

19 abril 2023

El tratamiento con fluvoxamina oral más budesonida inhalada entre pacientes ambulatorios de alto riesgo con COVID-19 temprano redujo la incidencia de enfermedad grave que requiere atención avanzada. Ann Intern Med, 18 de abril de 2023

Salbutamol con budesonida como tratamiento de rescate en asma bronquial moderada a severa

16 mayo 2022

En pacientes con asma bronquial no controlada, de moderada a severa, que estaban recibiendo una amplia gama de terapias de mantenimiento con glucocorticoides inhalados, el riesgo de exacerbación grave del asma fue significativamente menor con el uso según necesidad de una combinación de dosis fija de 180 μg de salbutamol y 160 μg de budesonida que con el uso a demanda de salbutamol solo. New England Journal of Medicine, 15 de mayo de 2022.

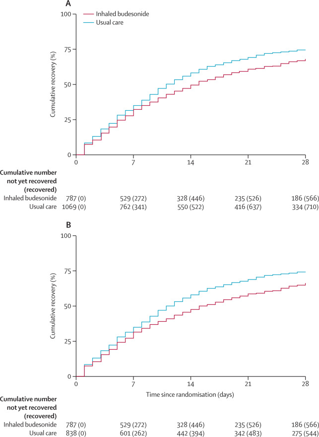
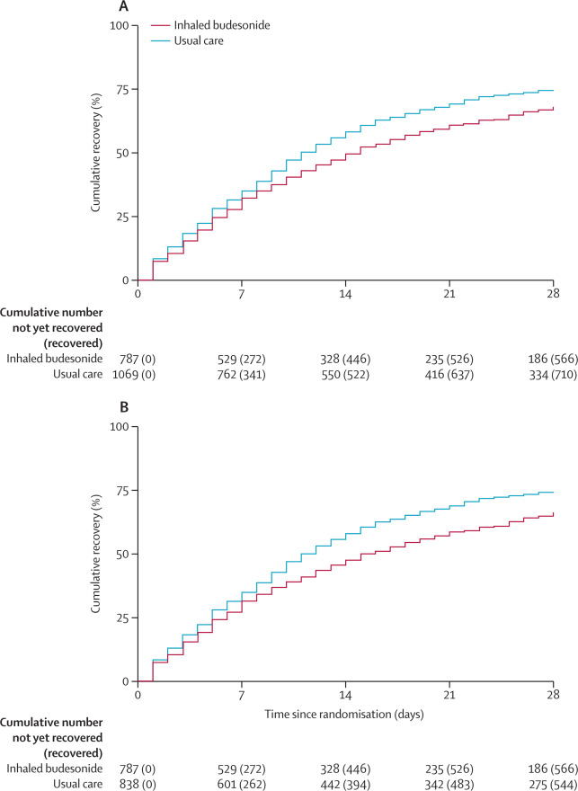
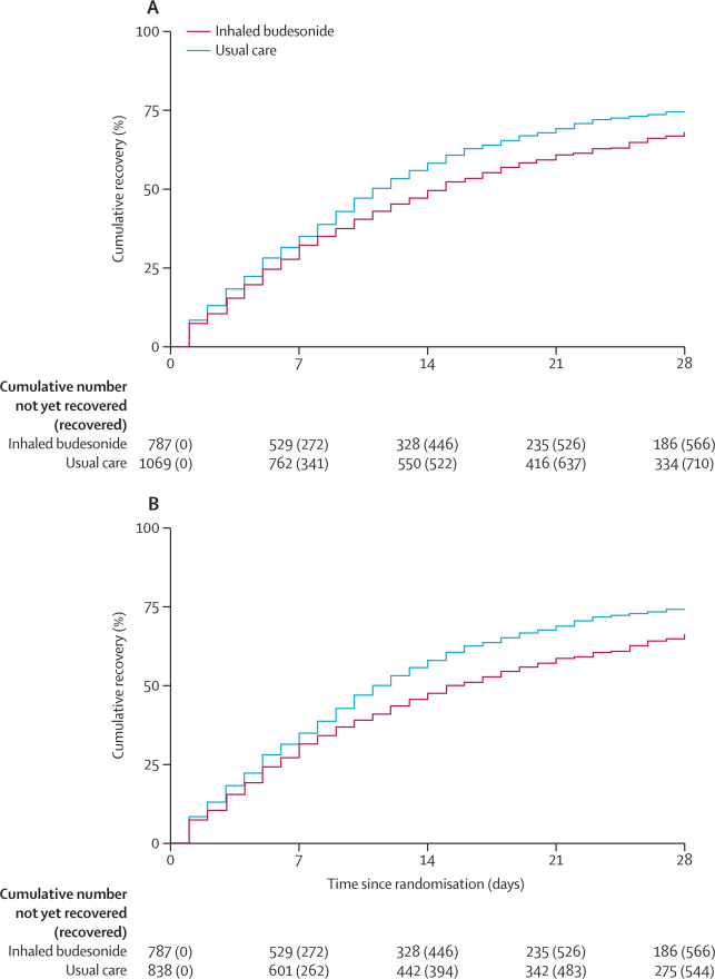
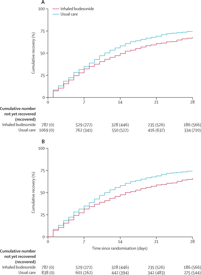
Budesonida inhalada para COVID-19 en personas con alto riesgo de complicaciones en la comunidad del Reino Unido (ensayo PRINCIPLE)

17 agosto 2021

La budesonida inhalada mejora el tiempo de recuperación, con la posibilidad de reducir también los ingresos hospitalarios o las muertes (aunque nuestros resultados no alcanzaron el umbral de superioridad), en personas con COVID-19 en la comunidad que tienen un mayor riesgo de complicaciones. La budesonida inhalada mejora el tiempo de recuperación, con la posibilidad de reducir también los ingresos hospitalarios o las muertes (aunque nuestros resultados no alcanzaron el umbral de superioridad), en personas con COVID-19 en la comunidad que tienen un mayor riesgo de complicaciones. Lancet, 10 de agosto de 2021

Categorias

Etiquetas