Farmacología

Mortalidad global asociada con 33 patógenos bacterianos en 2019: un análisis sistemático para el Estudio de carga global de enfermedad 2019

23 noviembre 2022

Los 33 patógenos bacterianos que investigamos en este estudio son una fuente sustancial de pérdida de salud a nivel mundial, con una variación considerable en su distribución entre los síndromes infecciosos y las ubicaciones. En comparación con las causas subyacentes de muerte del nivel 3 del Estudio de la Carga Global de Enfermedades, Lesiones y Factores de Riesgo, las muertes asociadas con estas bacterias se ubicarían como la segunda causa principal de muerte a nivel mundial en 2019; por lo tanto, deben considerarse una prioridad urgente para la intervención dentro de la comunidad sanitaria mundial. Las estrategias para abordar la carga de las infecciones bacterianas incluyen la prevención de infecciones, el uso optimizado de antibióticos, la capacidad mejorada para el análisis microbiológico, el desarrollo de vacunas y el uso mejorado y más generalizado de las vacunas disponibles. Estas estimaciones se pueden utilizar para ayudar a establecer prioridades para la necesidad, la demanda y el desarrollo de vacunas. The Lancet, 21 de noviembre de 2022

Desempeño del Índice de calidad y acceso a la atención de la salud, en general y por grupos de edad seleccionados, para 204 países y territorios, 1990-2019

14 octubre 2022

Aunque siguen existiendo brechas importantes entre los niveles de desarrollo social y económico, la convergencia en el grupo joven es una señal alentadora de la reducción de las disparidades en el acceso y la calidad de la atención médica. Sin embargo, la divergencia en los grupos de trabajo y posteriores al trabajo indica que el acceso y la calidad de la atención de la salud están rezagados en los niveles más bajos de desarrollo social y económico. Para satisfacer las necesidades de las poblaciones que envejecen, los sistemas de salud deben mejorar el acceso y la calidad de la atención médica para los adultos en edad de trabajar y las poblaciones de mayor edad, al mismo tiempo que continúan logrando avances entre los jóvenes. Lancet Glob Health. 6 de octubre de 2022

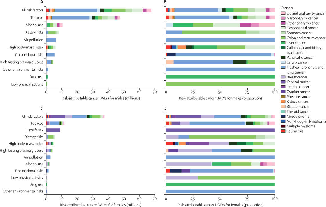
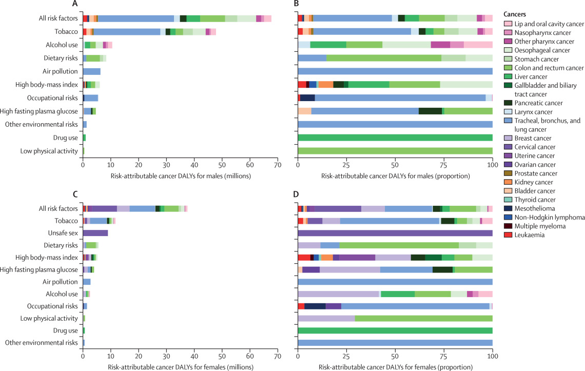
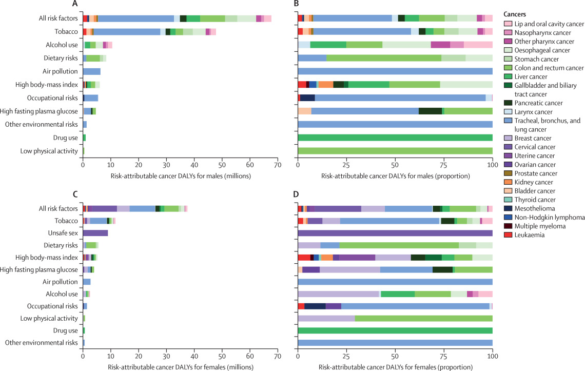
La carga mundial de cáncer atribuible a factores de riesgo, 2010-19: Estudio de la carga mundial de morbilidad 2019

19 agosto 2022

Este análisis sistemático para el Estudio de la carga mundial de morbilidad 2019, encontró que los principales factores de riesgo que contribuyeron a la carga global de cáncer en 2019 fueron conductuales, mientras que los factores de riesgo metabólicos experimentaron los mayores aumentos entre 2010 y 2019. Reducir la exposición a estos factores de riesgo modificables disminuiría la mortalidad por cáncer y las tasas de años de vida ajustados por discapacidad en todo el mundo, y las políticas deben adaptarse adecuadamente a carga local de factores de riesgo de cáncer. Lancet, 20 de agosto de 2022

Diferencias de edad y sexo en la carga mundial de infecciones de las vías respiratorias bajas y factores de riesgo, 1990-2019: resultados del Estudio de la carga mundial de morbilidad 2019

16 agosto 2022

Los patrones y el progreso en la reducción de la carga de infecciones de las vías respiratorias inferiores y los factores de riesgo clave para la mortalidad variaron entre grupos de edad y sexos. El progreso observado en niños menores de 5 años fue claramente el resultado de intervenciones específicas, como la vacunación y la reducción de la exposición a factores de riesgo. Intervenciones similares para otros grupos de edad podrían contribuir al logro de múltiples metas de los Objetivos de Desarrollo Sostenible, incluida la promoción del bienestar en todas las edades y la reducción de las desigualdades en salud. Las intervenciones, incluido el abordaje de factores de riesgo como la emaciación infantil, el tabaquismo, la contaminación ambiental por partículas y la contaminación del aire doméstico, evitarían muertes y reducirían las disparidades en la salud. Lancet Infect Dis. 11 de agosto de 2022

Categorias

Etiquetas