Farmacología

La EMA recomienda la autorización de la primera vacuna frente a la COVID-19

22 diciembre 2020

Comirnaty es el nombre de la vacuna desarrollada por BioNTech y Pfizer, que previne la enfermedad causada por SARS-CoV-2 en personas a partir de los 16 añosEl CHMP, formado por expertos de las autoridades competentes, entre ellas la AEMPS, ha completado su evaluación científica concluyendo por consenso que el balance beneficio-riesgo es positivo y se dispone de datos suficientemente sólidos sobre la calidad, seguridad y eficacia de esta vacunaAllana así el camino para que la Comisión Europea otorgue la autorización de comercialización condicional al medicamento y se convierta en la primera vacuna autorizada la Unión EuropeaEl ensayo clínico ha contado con la participación de unas 44.000 personas y ha demostrado una eficacia del 95%. AEMPS, 21 de diciembre de 2020

Reservando vacunas contra la enfermedad por coronavirus 2019 para el acceso global: análisis transversal

16 diciembre 2020

Este estudio proporciona una descripción general de cómo los países de altos ingresos han asegurado suministros futuros de vacunas covid-19, pero el acceso para el resto del mundo es incierto. Los gobiernos y los fabricantes podrían brindar garantías muy necesarias para la asignación equitativa de las vacunas covid-19 a través de una mayor transparencia y responsabilidad sobre estos acuerdos. BMJ 15 de diciembre de 2020

Resultados clínicos de una vacuna COVID-19: implementación  más allá de la eficacia

11 diciembre 2020

Nuestros hallazgos demuestran la necesidad urgente de que los funcionarios de salud inviertan más recursos financieros y atención a los programas de producción y distribución de vacunas, redoblen los esfuerzos para promover la confianza pública en las vacunas COVID-19 y fomenten la adherencia continua a otros enfoques de mitigación, incluso después que una vacuna este disponible. Health Affairs, 19 de noviembre de 2020

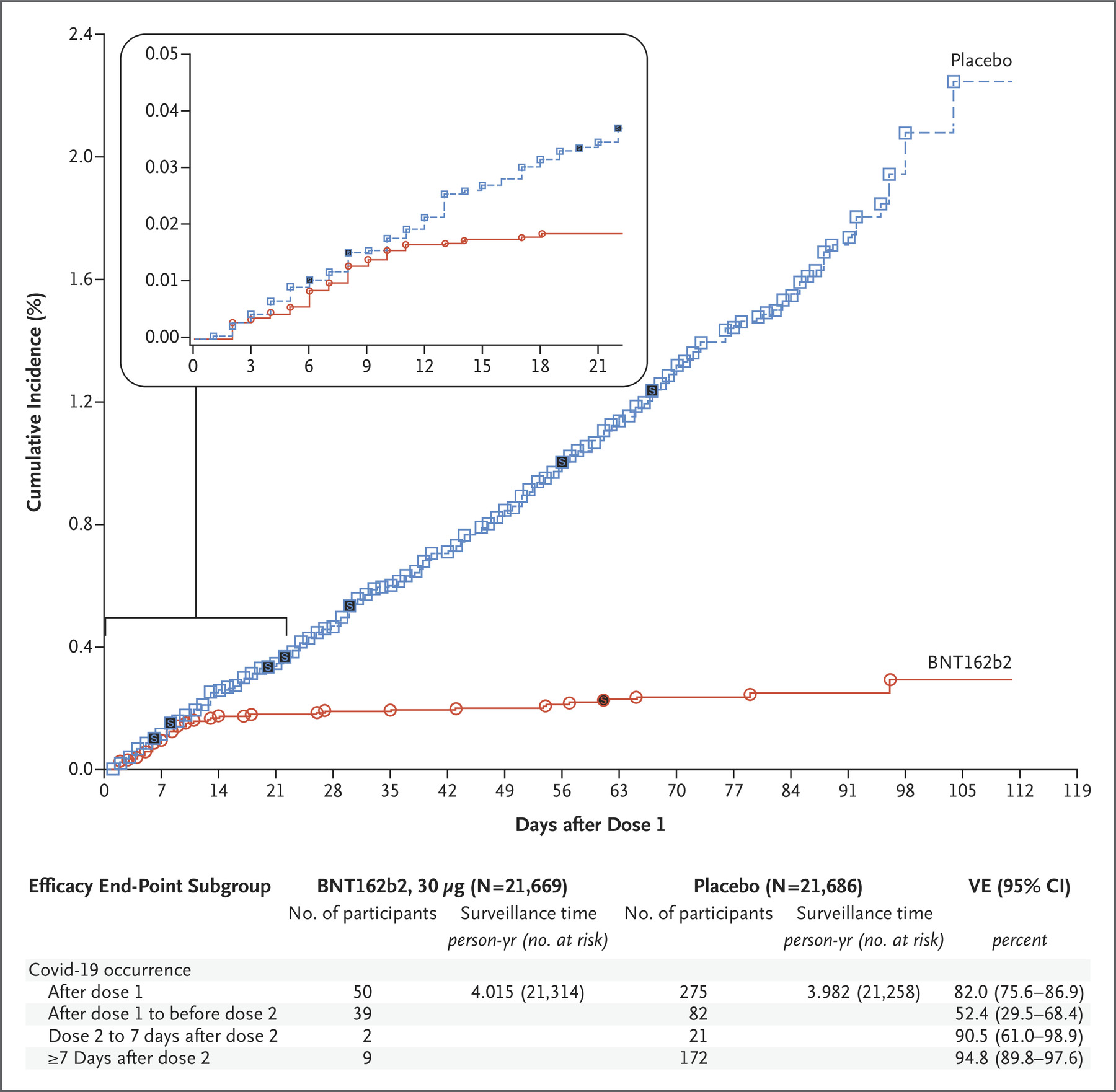
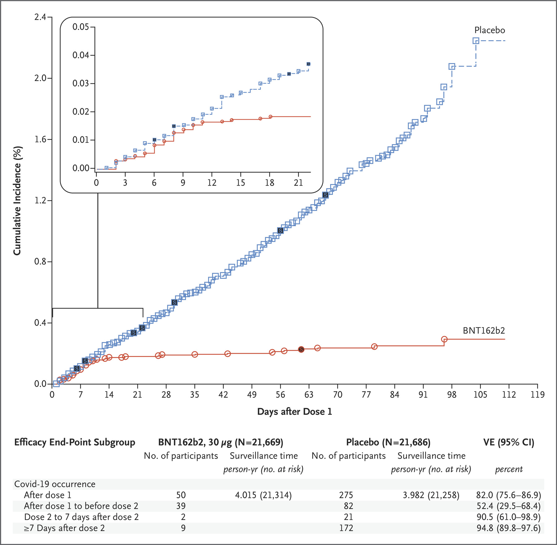
Seguridad y eficacia de la vacuna de ARNm BNT162b2 Covid-19 ( Pfizer/BioNTech)

10 diciembre 2020

Un régimen de dos dosis de BNT162b2 confirió una protección del 95% contra Covid-19 en personas de 16 años o más. La seguridad durante una mediana de 2 meses fue similar a la de otras vacunas virales. N Eng J Med, 10 de diciembre de 2020

Seguridad y eficacia de la vacuna ChAdOx1 nCoV-19 (Oxford) contra el SARS-CoV-2, análisis intermedio de 4 ECAs en Brasil, Sudáfrica y el Reino Unido

09 diciembre 2020

La vacuna ChAdOx1 nCoV-19 tiene un perfil de seguridad aceptable y se ha encontrado que es eficaz contra COVID-19 sintomático en este análisis intermedio de ensayos clínicos en curso. Lancet, 8 de diciembre de 2020

Categorias

Etiquetas