Farmacología

Vacunas contra el COVID-19 en Argentina

23 abril 2021

El informe sintetiza la experiencia de las vacunas contra el COVID-19 y la campaña de vacunación en Argentina. Presenta la información sobre las vacunas autorizadas, las notificaciones de ESAVI correspondientes a la campaña de vacunación, las variantes del SARS-CoV-2 aisladas en Argentina y la estrategia de diferir la aplicación de la segunda dosis de vacunas COVID-19. FEMEBA/ Fundación FEMEBA, 20 de abril de 2021

Trombocitopenia trombótica inmune asociada a la vacuna de AstraZeneca

12 abril 2021

El estudio de los casos de eventos trombóticos inusuales y trombocitopenia asociados a la vacunación con ChAdOx1 nCov-19 muestran que se trata de un fenómeno inmune mediado por anticuerpos activadores de plaquetas contra PF4, que simula clínicamente la trombocitopenia autoinmune inducida por heparina. New England Journal of Medicine, 9 de abril de 2021.

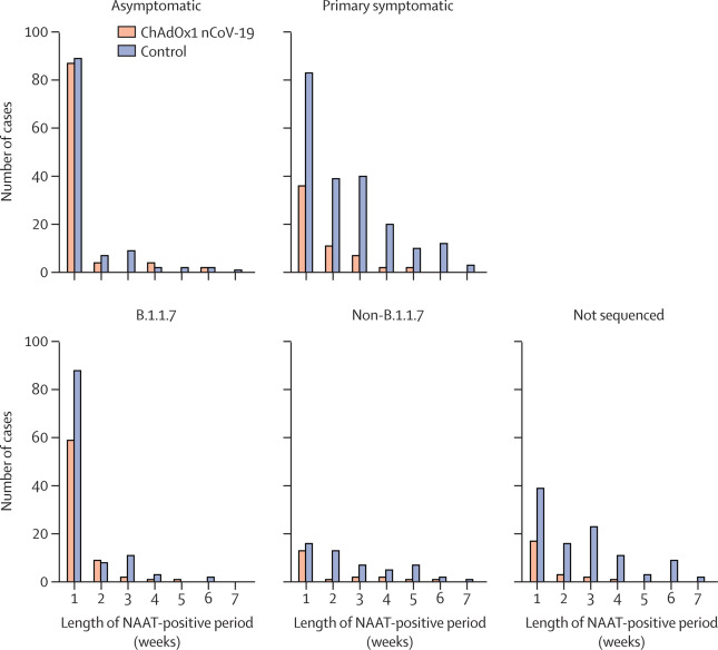
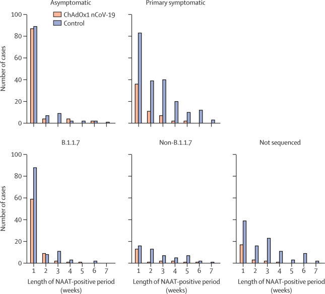
Eficacia de la vacuna AstraZeneca  contra la variante británica: análisis exploratorio de un ensayo controlado aleatorio

31 marzo 2021

la vacuna AstraZeneca (ChAdOx1 nCoV-19) mostró una actividad de neutralización reducida contra la variante B.1.1.7 en comparación con una variante no B.1.1.7 in vitro, pero la vacuna mostró eficacia contra la variante B.1.1.7 del SARS-CoV-2. Lancet, 30 de marzo de 2021

Categorias

Etiquetas