Farmacología

Eficacia de las vacunas Pfizer-BioNTech y Oxford-AstraZeneca sobre covid-19 en adultos mayores en Inglaterra

14 mayo 2021

La vacunación con una dosis de BNT162b2 o ChAdOx1-S se asoció con una reducción significativa del covid-19 sintomático en los adultos mayores y con una mayor protección contra la enfermedad grave. Ambas vacunas mostraron efectos similares. La protección se mantuvo durante el seguimiento (> 6 semanas). Una segunda dosis de BNT162b2 se asoció con una mayor protección contra la enfermedad sintomática. Se encontró un claro efecto de las vacunas contra la variante B.1.1.7 (variante británica). BMJ, 13 de mayo de 2021

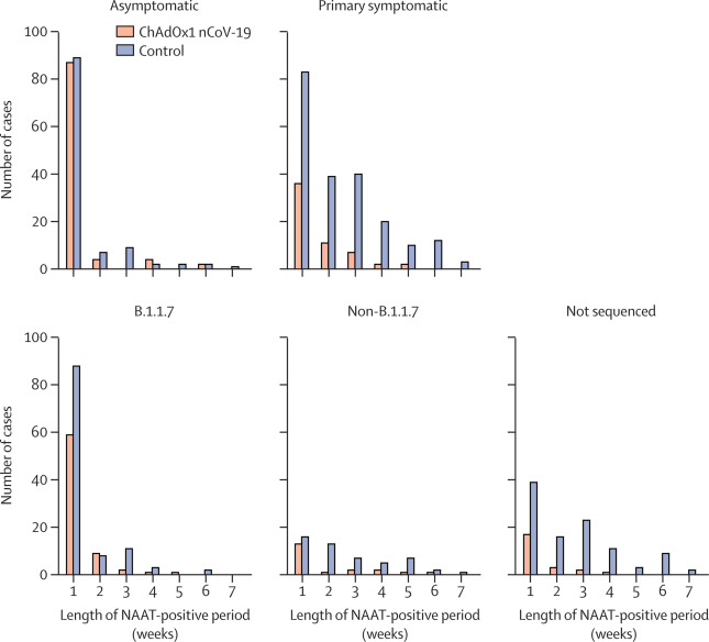
Eficacia de la vacuna AstraZeneca  contra la variante británica: análisis exploratorio de un ensayo controlado aleatorio

31 marzo 2021

la vacuna AstraZeneca (ChAdOx1 nCoV-19) mostró una actividad de neutralización reducida contra la variante B.1.1.7 en comparación con una variante no B.1.1.7 in vitro, pero la vacuna mostró eficacia contra la variante B.1.1.7 del SARS-CoV-2. Lancet, 30 de marzo de 2021

Reanudación de la vacunación en Europa con AstraZeneca. Preguntas frecuentes

26 marzo 2021

En función del próximo arribo de la vacuna a nuestro país, mediante en el mecanismo COVAX, compartimos el documento de la Agencia Española de Medicamentos y Productos Sanitarios (AEMPS), 23 de marzo de 2021

OMS considera que los beneficios de la vacuna de AstraZeneca son mayores que sus riesgos y recomienda que se siga administrando la vacuna

19 marzo 2021

Declaración de la OMS sobre las señales en materia de seguridad relativas a la vacuna de AstraZeneca contra la COVID-19.  OMS, 17 de marzo de 2021

España: 2º Informe de Farmacovigilancia sobre Vacunas COVID-19

10 febrero 2021

Hasta el 24 de enero de 2021, se han administrado en España 1.131.805 dosis de vacunas COVID-19 (98% de las dosis administradas correspondieron a Comirnaty y el 2% a la vacuna Moderna), habiéndose recibido 1.555 notificaciones de acontecimientos adversos. Los acontecimientos más frecuentemente notificados siguen siendo los trastornos generales (fiebre, dolor en la zona de inyección), del sistema nervioso central (cefalea, mareos) y del aparato digestivo (náuseas, diarrea). Tras la revisión de los datos disponibles, no se ha identificado ninguna reacción adversa hasta ahora desconocida que pueda ser motivo de preocupación. AEMPS , 9 de febrero de 2021.

Categorias

Etiquetas