Farmacología

Uso de fármacos adyuvantes y reutilizados en pacientes hospitalarios con covid-19: estudio de cohorte en red multinacional

12 mayo 2021

Se utilizaron múltiples fármacos en los primeros meses de la pandemia de covid-19, con variaciones geográficas y temporales sustanciales. La hidroxicloroquina, azitromicina, lopinavir-ritonavir y umifenovir (solo en China) fueron los fármacos reutilizados más recetados. Los antitrombóticos, antibióticos, antagonistas de los receptores H2 y corticosteroides se utilizaron a menudo como tratamientos complementarios. Se necesita investigación sobre el riesgo comparativo y el beneficio de estos tratamientos en el manejo del covid-19.  BMJ 11 de mayo de 2021

Azitromicina para tratamiento comunitario de COVID-19 en personas con riesgo de complicaciones

08 marzo 2021

Estos hallazgos no justifican el uso rutinario de azitromicina para reducir el tiempo de recuperación o el riesgo de hospitalización de personas con sospecha de COVID-19 en la comunidad. Estos hallazgos tienen importantes implicaciones en la administración de antibióticos durante esta pandemia, ya que el uso inadecuado de antibióticos conduce a una mayor resistencia a los antimicrobianos, y hay evidencia del aumento del uso de azitromicina durante la pandemia en el Reino Unido. Lancet, 4 de marzo de 2021

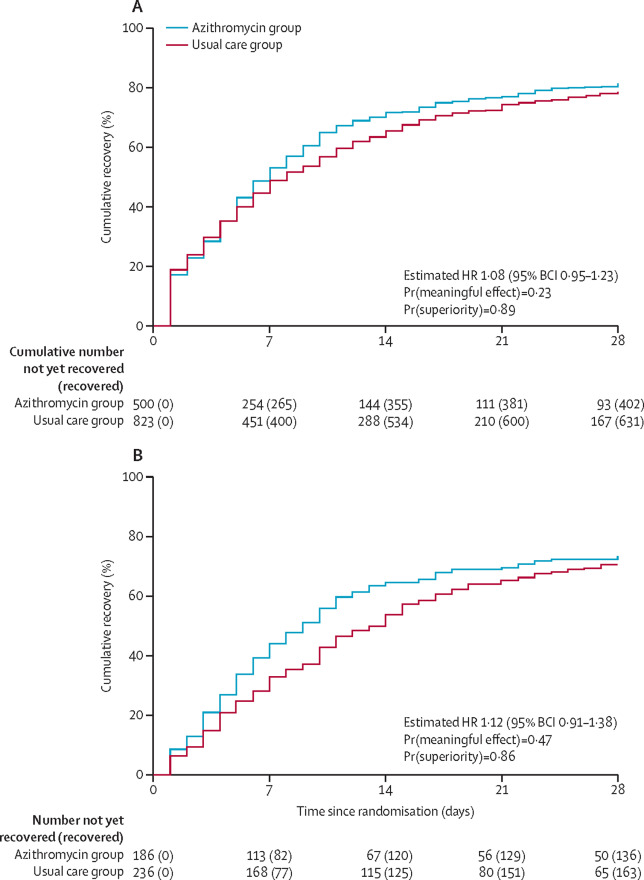
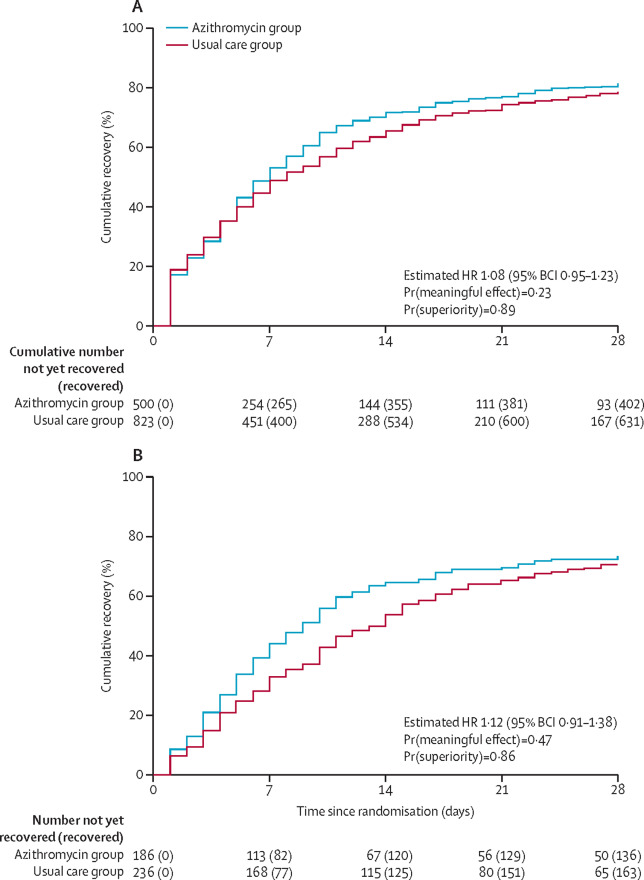
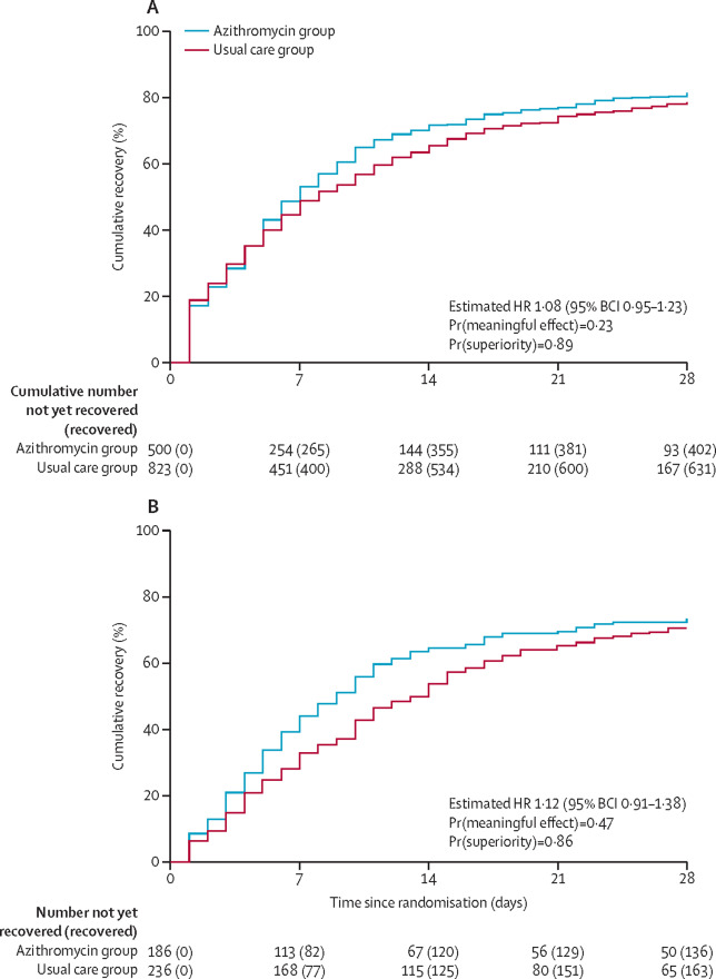
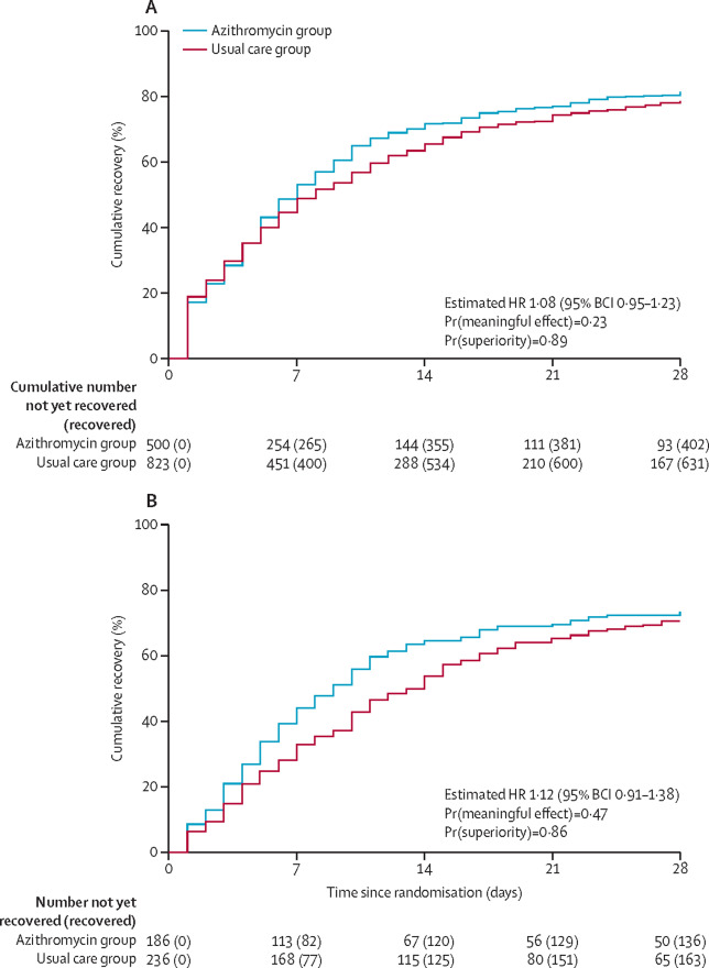
Azitromicina en pacientes ingresados en el hospital con COVID-19, resultados del ensayo RECOVERY

05 febrero 2021

En los pacientes ingresados en el hospital con COVID-19, la azitromicina no mejora la supervivencia ni otros resultados clínicos preespecificados. El uso de azitromicina en pacientes ingresados en el hospital con COVID-19 debe restringirse a pacientes en los que existe una clara indicación antimicrobiana. Lancet,  2 de febrero de 2021

Reacciones adversas a medicamentos en pacientes con COVID-19 en Brasil: análisis de las notificaciones espontáneas del sistema de farmacovigilancia

28 enero 2021

Se identificaron 631 RAMs en 402 pacientes. Los medicamentos más implicados fueron: hidroxicloroquina (59,5%), azitromicina (9,8%) y la cloroquina (5,2%). Las reacciones se manifestaron prioritariamente en el sistema cardíaco (38,8%), gastrointestinal (14,4%), tejido cutáneo (12,2%) y hepático (8,9%). La cloroquina (OR = 5,4; IC95%: 1,9-15,6) e hidroxicloroquina (OR = 2,1; IC95%: 1,2-3,6) fueron los únicos medicamentos asociados a RAM grave.  Cad Saude Publica. 22 de enero de 2021

Resistencia a macrólidos y no macrólidos con distribución masiva de azitromicina

16 noviembre 2020

Entre las aldeas asignadas para recibir distribuciones masivas de azitromicina o placebo dos veces al año durante 4 años, la resistencia a los antibióticos fue más común en las aldeas que recibieron azitromicina que en las que recibieron placebo. Este ensayo mostró que las distribuciones masivas de azitromicina pueden propagar la resistencia a los antibióticos. N Engl J Med, 12 de noviembre de 2020

Categorias

Etiquetas